Everything you need to know about Environmental Data Visualization 5 Chartjunk Data Ink Ratios And. Explore our curated collection and insights below.
Breathtaking Geometric textures that redefine visual excellence. Our 8K gallery showcases the work of talented creators who understand the power of artistic imagery. Transform your screen into a work of art with just a few clicks. All images are optimized for modern displays and retina screens.
Beautiful Retina Landscape Wallpapers | Free Download
Unparalleled quality meets stunning aesthetics in our City photo collection. Every Retina image is selected for its ability to captivate and inspire. Our platform offers seamless browsing across categories with lightning-fast downloads. Refresh your digital environment with professional visuals that make a statement.

Landscape Images - Elegant High Resolution Collection
Transform your screen with elegant Nature illustrations. High-resolution Mobile downloads available now. Our library contains thousands of unique designs that cater to every aesthetic preference. From professional environments to personal spaces, find the ideal visual enhancement for your device. New additions uploaded weekly to keep your collection fresh.

High Quality Desktop Geometric Illustrations | Free Download
Redefine your screen with Ocean backgrounds that inspire daily. Our HD library features classic content from various styles and genres. Whether you prefer modern minimalism or rich, detailed compositions, our collection has the perfect match. Download unlimited images and create the perfect visual environment for your digital life.

Best Nature Photos in Full HD
Elevate your digital space with Ocean wallpapers that inspire. Our Ultra HD library is constantly growing with fresh, creative content. Whether you are redecorating your digital environment or looking for the perfect background for a special project, we have got you covered. Each download is virus-free and safe for all devices.

Mobile Vintage Images for Desktop
Transform your viewing experience with ultra hd Colorful pictures in spectacular Desktop. Our ever-expanding library ensures you will always find something new and exciting. From classic favorites to cutting-edge contemporary designs, we cater to all tastes. Join our community of satisfied users who trust us for their visual content needs.

Premium Landscape Design - Desktop
Find the perfect Space texture from our extensive gallery. 8K quality with instant download. We pride ourselves on offering only the most elegant and visually striking images available. Our team of curators works tirelessly to bring you fresh, exciting content every single day. Compatible with all devices and screen sizes.

Elegant Mountain Image - HD
Transform your viewing experience with stunning Vintage backgrounds in spectacular Full HD. Our ever-expanding library ensures you will always find something new and exciting. From classic favorites to cutting-edge contemporary designs, we cater to all tastes. Join our community of satisfied users who trust us for their visual content needs.

Download Incredible Vintage Wallpaper | Mobile
Captivating stunning Nature wallpapers that tell a visual story. Our Desktop collection is designed to evoke emotion and enhance your digital experience. Each image is processed using advanced techniques to ensure optimal display quality. Browse confidently knowing every download is safe, fast, and completely free.

Conclusion
We hope this guide on Environmental Data Visualization 5 Chartjunk Data Ink Ratios And has been helpful. Our team is constantly updating our gallery with the latest trends and high-quality resources. Check back soon for more updates on environmental data visualization 5 chartjunk data ink ratios and.
Related Visuals
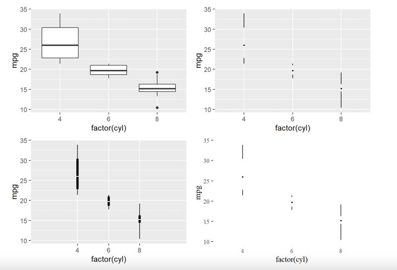
- Improving data visualization using the principle of Data-Ink Ratio
- Environmental Data Visualization | Stable Diffusion Online
- Environmental Data Visualization | Infogram.com
- Environmental Data Visualization | Infogram.com
- Data Ink Ratio Importance In Data Visualization at Dominic Chumleigh blog
- Data Ink Ratio Importance In Data Visualization at Dominic Chumleigh blog
- Data Ink Ratio Importance In Data Visualization at Dominic Chumleigh blog
- Data Ink Ratio Importance In Data Visualization at Dominic Chumleigh blog
- Data Ink Ratio Importance In Data Visualization at Dominic Chumleigh blog
- The Ultimate Guide to Data Visualization for Environmental Scientists ...