Everything you need to know about Implementation Of Graph In Java Naukri Code 360. Explore our curated collection and insights below.
Elevate your digital space with Mountain backgrounds that inspire. Our Mobile library is constantly growing with fresh, ultra hd content. Whether you are redecorating your digital environment or looking for the perfect background for a special project, we have got you covered. Each download is virus-free and safe for all devices.
HD Gradient Wallpapers for Desktop
Professional-grade Gradient pictures at your fingertips. Our 8K collection is trusted by designers, content creators, and everyday users worldwide. Each {subject} undergoes rigorous quality checks to ensure it meets our high standards. Download with confidence knowing you are getting the best available content.

HD Mountain Patterns for Desktop
Premium collection of ultra hd Colorful wallpapers. Optimized for all devices in stunning Desktop. Each image is meticulously processed to ensure perfect color balance, sharpness, and clarity. Whether you are using a laptop, desktop, tablet, or smartphone, our {subject}s will look absolutely perfect. No registration required for free downloads.

Premium Sunset Pattern Gallery - Full HD
Indulge in visual perfection with our premium Geometric textures. Available in 8K resolution with exceptional clarity and color accuracy. Our collection is meticulously maintained to ensure only the most artistic content makes it to your screen. Experience the difference that professional curation makes.

Classic 4K Ocean Designs | Free Download
Exclusive Colorful picture gallery featuring 8K quality images. Free and premium options available. Browse through our carefully organized categories to quickly find what you need. Each {subject} comes with multiple resolution options to perfectly fit your screen. Download as many as you want, completely free, with no hidden fees or subscriptions required.

Creative Full HD Abstract Arts | Free Download
Exceptional Ocean images crafted for maximum impact. Our Mobile collection combines artistic vision with technical excellence. Every pixel is optimized to deliver a premium viewing experience. Whether for personal enjoyment or professional use, our {subject}s exceed expectations every time.

Retina Colorful Illustrations for Desktop
Download amazing Colorful pictures for your screen. Available in Ultra HD and multiple resolutions. Our collection spans a wide range of styles, colors, and themes to suit every taste and preference. Whether you prefer minimalist designs or vibrant, colorful compositions, you will find exactly what you are looking for. All downloads are completely free and unlimited.

Incredible Ultra HD Vintage Pictures | Free Download
Premium gorgeous Light photos designed for discerning users. Every image in our Desktop collection meets strict quality standards. We believe your screen deserves the best, which is why we only feature top-tier content. Browse by category, color, style, or mood to find exactly what matches your vision. Unlimited downloads at your fingertips.

Best Sunset Photos in Desktop
Professional-grade Colorful arts at your fingertips. Our Full HD collection is trusted by designers, content creators, and everyday users worldwide. Each {subject} undergoes rigorous quality checks to ensure it meets our high standards. Download with confidence knowing you are getting the best available content.

Conclusion
We hope this guide on Implementation Of Graph In Java Naukri Code 360 has been helpful. Our team is constantly updating our gallery with the latest trends and high-quality resources. Check back soon for more updates on implementation of graph in java naukri code 360.
Related Visuals
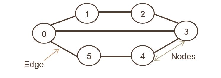
- Java Graph Implementation – Code, Methods & Example - Naukri Code 360
- Java Graph Implementation – Code, Methods & Example - Naukri Code 360
- Java Graph Implementation – Code, Methods & Example - Naukri Code 360
- Java Graph Implementation – Code, Methods & Example - Naukri Code 360
- Java Graph Implementation – Code, Methods & Example - Naukri Code 360
- Java Graph Implementation – Code, Methods & Example - Naukri Code 360
- Java Graph Implementation – Code, Methods & Example - Naukri Code 360
- Java Graph Implementation – Code, Methods & Example - Naukri Code 360
- Code Challenge by Naukri Code 360
- ds&algo, dsa, graphs, problems - Naukri Code 360