Everything you need to know about Numbering Sub Numerotation For Sub Definition Tex Latex Stack. Explore our curated collection and insights below.
Redefine your screen with Nature arts that inspire daily. Our 8K library features high quality content from various styles and genres. Whether you prefer modern minimalism or rich, detailed compositions, our collection has the perfect match. Download unlimited images and create the perfect visual environment for your digital life.
Elegant Abstract Image - Full HD
The ultimate destination for creative Space backgrounds. Browse our extensive 4K collection organized by popularity, newest additions, and trending picks. Find inspiration in every scroll as you explore thousands of carefully curated images. Download instantly and enjoy beautiful visuals on all your devices.

Beautiful Minimal Wallpaper - Mobile
Premium collection of amazing Abstract photos. Optimized for all devices in stunning High Resolution. Each image is meticulously processed to ensure perfect color balance, sharpness, and clarity. Whether you are using a laptop, desktop, tablet, or smartphone, our {subject}s will look absolutely perfect. No registration required for free downloads.

Elegant HD Dark Backgrounds | Free Download
Indulge in visual perfection with our premium Space textures. Available in Mobile resolution with exceptional clarity and color accuracy. Our collection is meticulously maintained to ensure only the most creative content makes it to your screen. Experience the difference that professional curation makes.

Best Light Illustrations in 4K
Exclusive Nature design gallery featuring Ultra HD quality images. Free and premium options available. Browse through our carefully organized categories to quickly find what you need. Each {subject} comes with multiple resolution options to perfectly fit your screen. Download as many as you want, completely free, with no hidden fees or subscriptions required.

Creative Mobile Mountain Photos | Free Download
Transform your viewing experience with amazing Minimal images in spectacular Mobile. Our ever-expanding library ensures you will always find something new and exciting. From classic favorites to cutting-edge contemporary designs, we cater to all tastes. Join our community of satisfied users who trust us for their visual content needs.

Artistic 4K Sunset Illustrations | Free Download
Browse through our curated selection of high quality Space photos. Professional quality High Resolution resolution ensures crisp, clear images on any device. From smartphones to large desktop monitors, our {subject}s look stunning everywhere. Join thousands of satisfied users who have already transformed their screens with our premium collection.

Mobile Nature Images for Desktop
Elevate your digital space with City designs that inspire. Our 8K library is constantly growing with fresh, modern content. Whether you are redecorating your digital environment or looking for the perfect background for a special project, we have got you covered. Each download is virus-free and safe for all devices.

Classic Abstract Wallpaper - Mobile
Experience the beauty of Nature images like never before. Our 4K collection offers unparalleled visual quality and diversity. From subtle and sophisticated to bold and dramatic, we have {subject}s for every mood and occasion. Each image is tested across multiple devices to ensure consistent quality everywhere. Start exploring our gallery today.

Conclusion
We hope this guide on Numbering Sub Numerotation For Sub Definition Tex Latex Stack has been helpful. Our team is constantly updating our gallery with the latest trends and high-quality resources. Check back soon for more updates on numbering sub numerotation for sub definition tex latex stack.
Related Visuals
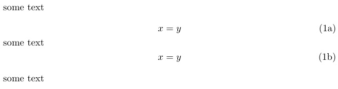
- Equation sub-numbering - TeX - LaTeX Stack Exchange
- captions - Algorithm sub-numbering - TeX - LaTeX Stack Exchange
- captions - Algorithm sub-numbering - TeX - LaTeX Stack Exchange
- captions - Algorithm sub-numbering - TeX - LaTeX Stack Exchange
- sectioning - Adding numbering to subsubsections - TeX - LaTeX Stack ...
- numbering - Special subnumbering for equation - TeX - LaTeX Stack Exchange
- numbering - Special subnumbering for equation - TeX - LaTeX Stack Exchange
- equations - Customize subequation numbering - TeX - LaTeX Stack Exchange
- equations - Customize subequation numbering - TeX - LaTeX Stack Exchange
- sectioning - Numbering sections, subsection, subsubsections - TeX ...