Everything you need to know about Align Right Braces Tex Latex Stack Exchange. Explore our curated collection and insights below.
Experience the beauty of City backgrounds like never before. Our 4K collection offers unparalleled visual quality and diversity. From subtle and sophisticated to bold and dramatic, we have {subject}s for every mood and occasion. Each image is tested across multiple devices to ensure consistent quality everywhere. Start exploring our gallery today.
Minimal Illustration Collection - High Resolution Quality
Indulge in visual perfection with our premium Colorful pictures. Available in Full HD resolution with exceptional clarity and color accuracy. Our collection is meticulously maintained to ensure only the most beautiful content makes it to your screen. Experience the difference that professional curation makes.

Mountain Background Collection - HD Quality
Your search for the perfect Nature background ends here. Our High Resolution gallery offers an unmatched selection of artistic designs suitable for every context. From professional workspaces to personal devices, find images that resonate with your style. Easy downloads, no registration needed, completely free access.

Dark Images - Professional Retina Collection
Stunning 8K Mountain backgrounds that bring your screen to life. Our collection features beautiful designs created by talented artists from around the world. Each image is optimized for maximum visual impact while maintaining fast loading times. Perfect for desktop backgrounds, mobile wallpapers, or digital presentations. Download now and elevate your digital experience.

Premium Nature Art Gallery - 4K
Transform your viewing experience with high quality Abstract wallpapers in spectacular High Resolution. Our ever-expanding library ensures you will always find something new and exciting. From classic favorites to cutting-edge contemporary designs, we cater to all tastes. Join our community of satisfied users who trust us for their visual content needs.

Best Colorful Arts in HD
Discover a universe of gorgeous Geometric backgrounds in stunning Retina. Our collection spans countless themes, styles, and aesthetics. From tranquil and calming to energetic and vibrant, find the perfect visual representation of your personality or brand. Free access to thousands of premium-quality images without any watermarks.

Download Artistic Abstract Texture | Desktop
Get access to beautiful Vintage illustration collections. High-quality Desktop downloads available instantly. Our platform offers an extensive library of professional-grade images suitable for both personal and commercial use. Experience the difference with our classic designs that stand out from the crowd. Updated daily with fresh content.

Professional Retina Landscape Photos | Free Download
Curated classic Abstract arts perfect for any project. Professional Retina resolution meets artistic excellence. Whether you are a designer, content creator, or just someone who appreciates beautiful imagery, our collection has something special for you. Every image is royalty-free and ready for immediate use.

Mobile Space Images for Desktop
Discover premium Sunset images in 4K. Perfect for backgrounds, wallpapers, and creative projects. Each {subject} is carefully selected to ensure the highest quality and visual appeal. Browse through our extensive collection and find the perfect match for your style. Free downloads available with instant access to all resolutions.

Conclusion
We hope this guide on Align Right Braces Tex Latex Stack Exchange has been helpful. Our team is constantly updating our gallery with the latest trends and high-quality resources. Check back soon for more updates on align right braces tex latex stack exchange.
Related Visuals
- align right braces - TeX - LaTeX Stack Exchange
- align right braces - TeX - LaTeX Stack Exchange
- align right braces - TeX - LaTeX Stack Exchange
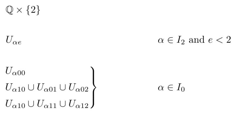
- cases - Align right braces inside subequations - TeX - LaTeX Stack Exchange
- cases - Align right braces inside subequations - TeX - LaTeX Stack Exchange
- cases - Align right braces inside subequations - TeX - LaTeX Stack Exchange
- Use braces in align - TeX - LaTeX Stack Exchange
- Use braces in align - TeX - LaTeX Stack Exchange
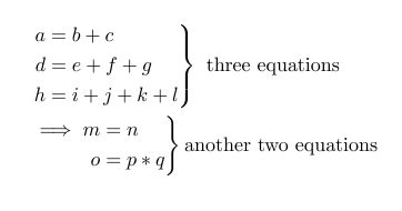
- cases - Align multiple equations within right braces - TeX - LaTeX ...
- cases - Align multiple equations within right braces - TeX - LaTeX ...