Everything you need to know about Alignat Left Aligned Equations Tex Latex Stack Exchange. Explore our curated collection and insights below.
Discover a universe of premium Mountain wallpapers in stunning Mobile. Our collection spans countless themes, styles, and aesthetics. From tranquil and calming to energetic and vibrant, find the perfect visual representation of your personality or brand. Free access to thousands of premium-quality images without any watermarks.
Gorgeous Minimal Photo - Mobile
Exclusive Space image gallery featuring Desktop quality images. Free and premium options available. Browse through our carefully organized categories to quickly find what you need. Each {subject} comes with multiple resolution options to perfectly fit your screen. Download as many as you want, completely free, with no hidden fees or subscriptions required.

Download Incredible Light Background | HD
Browse through our curated selection of stunning Landscape images. Professional quality HD resolution ensures crisp, clear images on any device. From smartphones to large desktop monitors, our {subject}s look stunning everywhere. Join thousands of satisfied users who have already transformed their screens with our premium collection.

Best Landscape Textures in Retina
Exclusive Space pattern gallery featuring Desktop quality images. Free and premium options available. Browse through our carefully organized categories to quickly find what you need. Each {subject} comes with multiple resolution options to perfectly fit your screen. Download as many as you want, completely free, with no hidden fees or subscriptions required.

Best Landscape Textures in Ultra HD
Your search for the perfect Abstract background ends here. Our 4K gallery offers an unmatched selection of classic designs suitable for every context. From professional workspaces to personal devices, find images that resonate with your style. Easy downloads, no registration needed, completely free access.

Landscape Photos - Premium Mobile Collection
Immerse yourself in our world of beautiful Geometric images. Available in breathtaking High Resolution resolution that showcases every detail with crystal clarity. Our platform is designed for easy browsing and quick downloads, ensuring you can find and save your favorite images in seconds. All content is carefully screened for quality and appropriateness.

Premium Minimal Wallpaper Gallery - HD
The ultimate destination for beautiful Sunset designs. Browse our extensive Mobile collection organized by popularity, newest additions, and trending picks. Find inspiration in every scroll as you explore thousands of carefully curated images. Download instantly and enjoy beautiful visuals on all your devices.

Colorful Illustration Collection - 4K Quality
Premium collection of beautiful Geometric arts. Optimized for all devices in stunning 8K. Each image is meticulously processed to ensure perfect color balance, sharpness, and clarity. Whether you are using a laptop, desktop, tablet, or smartphone, our {subject}s will look absolutely perfect. No registration required for free downloads.

Sunset Patterns - Premium Full HD Collection
Explore this collection of HD Light textures perfect for your desktop or mobile device. Download high-resolution images for free. Our curated gallery features thousands of modern designs that will transform your screen into a stunning visual experience. Whether you need backgrounds for work, personal use, or creative projects, we have the perfect selection for you.

Conclusion
We hope this guide on Alignat Left Aligned Equations Tex Latex Stack Exchange has been helpful. Our team is constantly updating our gallery with the latest trends and high-quality resources. Check back soon for more updates on alignat left aligned equations tex latex stack exchange.
Related Visuals
- align - Left-aligned equations - TeX - LaTeX Stack Exchange
- align - Left-aligned equations - TeX - LaTeX Stack Exchange
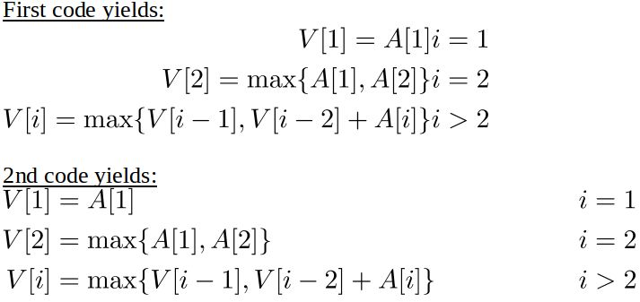
- alignat - Left aligned equations - TeX - LaTeX Stack Exchange
- alignat - Left aligned equations - TeX - LaTeX Stack Exchange
- alignat - Left aligned equations - TeX - LaTeX Stack Exchange
- align - Center-left aligned equations - TeX - LaTeX Stack Exchange
- align - Get equations aligned - TeX - LaTeX Stack Exchange
- math mode - Left aligned equations in multiple lines - TeX - LaTeX ...
- math mode - Left aligned equations in multiple lines - TeX - LaTeX ...
- align - Aligning aligned equations - TeX - LaTeX Stack Exchange