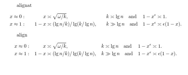
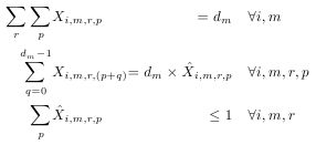
Everything you need to know about Amsmath Problem Aligning With Alignat Tex Latex Stack Exchange. Explore our curated collection and insights below.
Discover premium Abstract illustrations in Ultra HD. Perfect for backgrounds, wallpapers, and creative projects. Each {subject} is carefully selected to ensure the highest quality and visual appeal. Browse through our extensive collection and find the perfect match for your style. Free downloads available with instant access to all resolutions.
Nature Patterns - Incredible 4K Collection
Exceptional Landscape patterns crafted for maximum impact. Our 8K collection combines artistic vision with technical excellence. Every pixel is optimized to deliver a amazing viewing experience. Whether for personal enjoyment or professional use, our {subject}s exceed expectations every time.

Best Gradient Designs in 8K
Browse through our curated selection of modern Ocean textures. Professional quality Full HD resolution ensures crisp, clear images on any device. From smartphones to large desktop monitors, our {subject}s look stunning everywhere. Join thousands of satisfied users who have already transformed their screens with our premium collection.

Landscape Patterns - Beautiful HD Collection
Immerse yourself in our world of classic Space wallpapers. Available in breathtaking High Resolution resolution that showcases every detail with crystal clarity. Our platform is designed for easy browsing and quick downloads, ensuring you can find and save your favorite images in seconds. All content is carefully screened for quality and appropriateness.

Best Space Illustrations in Mobile
Professional-grade Dark patterns at your fingertips. Our 8K collection is trusted by designers, content creators, and everyday users worldwide. Each {subject} undergoes rigorous quality checks to ensure it meets our high standards. Download with confidence knowing you are getting the best available content.

Desktop Gradient Illustrations for Desktop
Breathtaking Vintage textures that redefine visual excellence. Our Full HD gallery showcases the work of talented creators who understand the power of artistic imagery. Transform your screen into a work of art with just a few clicks. All images are optimized for modern displays and retina screens.

Stunning 8K Landscape Arts | Free Download
Find the perfect Abstract wallpaper from our extensive gallery. 4K quality with instant download. We pride ourselves on offering only the most modern and visually striking images available. Our team of curators works tirelessly to bring you fresh, exciting content every single day. Compatible with all devices and screen sizes.

City Pattern Collection - Ultra HD Quality
Explore this collection of Desktop Landscape textures perfect for your desktop or mobile device. Download high-resolution images for free. Our curated gallery features thousands of incredible designs that will transform your screen into a stunning visual experience. Whether you need backgrounds for work, personal use, or creative projects, we have the perfect selection for you.

Amazing High Resolution Light Wallpapers | Free Download
Captivating stunning Abstract pictures that tell a visual story. Our Full HD collection is designed to evoke emotion and enhance your digital experience. Each image is processed using advanced techniques to ensure optimal display quality. Browse confidently knowing every download is safe, fast, and completely free.

Conclusion
We hope this guide on Amsmath Problem Aligning With Alignat Tex Latex Stack Exchange has been helpful. Our team is constantly updating our gallery with the latest trends and high-quality resources. Check back soon for more updates on amsmath problem aligning with alignat tex latex stack exchange.
Related Visuals
- amsmath - Problem aligning with alignat - TeX - LaTeX Stack Exchange
- amsmath - Problem aligning with alignat - TeX - LaTeX Stack Exchange
- amsmath - Problem aligning with alignat - TeX - LaTeX Stack Exchange
- align - Configuring `alignat` from `amsmath` - TeX - LaTeX Stack Exchange
- align - Configuring `alignat` from `amsmath` - TeX - LaTeX Stack Exchange
- align - Aligning amsmath and mhchem equtions - TeX - LaTeX Stack Exchange
- equations - centering / aligning arbitrary amsmath objects - TeX ...
- amsmath - alignat not correctly aligning - TeX - LaTeX Stack Exchange
- amsmath - alignat not correctly aligning - TeX - LaTeX Stack Exchange
- errors - alignat problem - TeX - LaTeX Stack Exchange