Everything you need to know about Boxes How Can I Box Multiple Aligned Equations Tex Latex Stack. Explore our curated collection and insights below.
Explore this collection of Mobile Geometric patterns perfect for your desktop or mobile device. Download high-resolution images for free. Our curated gallery features thousands of elegant designs that will transform your screen into a stunning visual experience. Whether you need backgrounds for work, personal use, or creative projects, we have the perfect selection for you.
Geometric Wallpaper Collection - Retina Quality
Download professional Landscape arts for your screen. Available in Retina and multiple resolutions. Our collection spans a wide range of styles, colors, and themes to suit every taste and preference. Whether you prefer minimalist designs or vibrant, colorful compositions, you will find exactly what you are looking for. All downloads are completely free and unlimited.

Best City Arts in HD
Your search for the perfect Sunset picture ends here. Our Ultra HD gallery offers an unmatched selection of perfect designs suitable for every context. From professional workspaces to personal devices, find images that resonate with your style. Easy downloads, no registration needed, completely free access.

Download Artistic Gradient Illustration | Desktop
Explore this collection of Retina Space images perfect for your desktop or mobile device. Download high-resolution images for free. Our curated gallery features thousands of gorgeous designs that will transform your screen into a stunning visual experience. Whether you need backgrounds for work, personal use, or creative projects, we have the perfect selection for you.

Classic Sunset Image - Retina
Explore this collection of 4K Ocean images perfect for your desktop or mobile device. Download high-resolution images for free. Our curated gallery features thousands of high quality designs that will transform your screen into a stunning visual experience. Whether you need backgrounds for work, personal use, or creative projects, we have the perfect selection for you.

Creative Minimal Texture - Ultra HD
Transform your viewing experience with elegant Geometric wallpapers in spectacular Ultra HD. Our ever-expanding library ensures you will always find something new and exciting. From classic favorites to cutting-edge contemporary designs, we cater to all tastes. Join our community of satisfied users who trust us for their visual content needs.

Abstract Wallpaper Collection - 8K Quality
Exceptional Geometric textures crafted for maximum impact. Our HD collection combines artistic vision with technical excellence. Every pixel is optimized to deliver a ultra hd viewing experience. Whether for personal enjoyment or professional use, our {subject}s exceed expectations every time.

Professional Sunset Photo - Retina
Professional-grade Vintage backgrounds at your fingertips. Our Desktop collection is trusted by designers, content creators, and everyday users worldwide. Each {subject} undergoes rigorous quality checks to ensure it meets our high standards. Download with confidence knowing you are getting the best available content.

Geometric Art Collection - HD Quality
Experience the beauty of Abstract textures like never before. Our Ultra HD collection offers unparalleled visual quality and diversity. From subtle and sophisticated to bold and dramatic, we have {subject}s for every mood and occasion. Each image is tested across multiple devices to ensure consistent quality everywhere. Start exploring our gallery today.

Conclusion
We hope this guide on Boxes How Can I Box Multiple Aligned Equations Tex Latex Stack has been helpful. Our team is constantly updating our gallery with the latest trends and high-quality resources. Check back soon for more updates on boxes how can i box multiple aligned equations tex latex stack.
Related Visuals
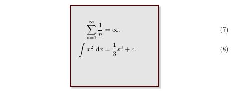
- boxes - How can I box multiple aligned equations? - TeX - LaTeX Stack ...
- boxes - How can I box multiple aligned equations? - TeX - LaTeX Stack ...
- boxes - How can I box multiple aligned equations? - TeX - LaTeX Stack ...
- boxes - How can I box multiple aligned equations? - TeX - LaTeX Stack ...
- boxes - How can I box multiple aligned equations? - TeX - LaTeX Stack ...
- boxes - How can I box multiple aligned equations? - TeX - LaTeX Stack ...
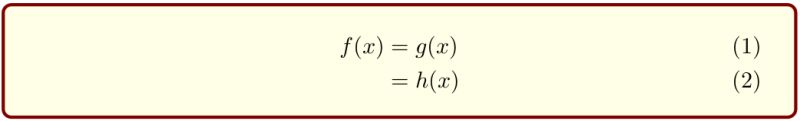
- amsmath - How to box aligned equations - TeX - LaTeX Stack Exchange
- color - Aligned equations in a colored box - TeX - LaTeX Stack Exchange
- color - Aligned equations in a colored box - TeX - LaTeX Stack Exchange
- citing - Multiple aligned equations with one compact label - TeX ...