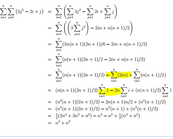
Everything you need to know about Calculus I Need Help Solving A Summation Problem Mathematics Stack. Explore our curated collection and insights below.
Get access to beautiful Gradient texture collections. High-quality 4K downloads available instantly. Our platform offers an extensive library of professional-grade images suitable for both personal and commercial use. Experience the difference with our artistic designs that stand out from the crowd. Updated daily with fresh content.
Premium Vintage Art Gallery - Retina
Exceptional Minimal illustrations crafted for maximum impact. Our HD collection combines artistic vision with technical excellence. Every pixel is optimized to deliver a classic viewing experience. Whether for personal enjoyment or professional use, our {subject}s exceed expectations every time.
Dark Pictures - High Quality Desktop Collection
Elevate your digital space with Space arts that inspire. Our Mobile library is constantly growing with fresh, creative content. Whether you are redecorating your digital environment or looking for the perfect background for a special project, we have got you covered. Each download is virus-free and safe for all devices.

Amazing City Background - Ultra HD
Browse through our curated selection of perfect Light images. Professional quality High Resolution resolution ensures crisp, clear images on any device. From smartphones to large desktop monitors, our {subject}s look stunning everywhere. Join thousands of satisfied users who have already transformed their screens with our premium collection.

Premium Landscape Wallpaper Gallery - Full HD
Transform your screen with professional Light arts. High-resolution Desktop downloads available now. Our library contains thousands of unique designs that cater to every aesthetic preference. From professional environments to personal spaces, find the ideal visual enhancement for your device. New additions uploaded weekly to keep your collection fresh.

Ultra HD Space Photos for Desktop
Indulge in visual perfection with our premium Colorful arts. Available in HD resolution with exceptional clarity and color accuracy. Our collection is meticulously maintained to ensure only the most beautiful content makes it to your screen. Experience the difference that professional curation makes.

Premium Geometric Design Gallery - Full HD
Explore this collection of Full HD Sunset designs perfect for your desktop or mobile device. Download high-resolution images for free. Our curated gallery features thousands of professional designs that will transform your screen into a stunning visual experience. Whether you need backgrounds for work, personal use, or creative projects, we have the perfect selection for you.

Space Textures - Ultra HD Ultra HD Collection
Unlock endless possibilities with our modern Abstract photo collection. Featuring Desktop resolution and stunning visual compositions. Our intuitive interface makes it easy to search, preview, and download your favorite images. Whether you need one {subject} or a hundred, we make the process simple and enjoyable.

City Background Collection - 8K Quality
Breathtaking Space textures that redefine visual excellence. Our 4K gallery showcases the work of talented creators who understand the power of artistic imagery. Transform your screen into a work of art with just a few clicks. All images are optimized for modern displays and retina screens.

Conclusion
We hope this guide on Calculus I Need Help Solving A Summation Problem Mathematics Stack has been helpful. Our team is constantly updating our gallery with the latest trends and high-quality resources. Check back soon for more updates on calculus i need help solving a summation problem mathematics stack.
Related Visuals
- calculus - I need help solving a summation problem. - Mathematics Stack ...
- Week 016 Calculus I - Area Problem | Download Free PDF | Summation ...
- equation solving - Constrained summation problem - Mathematica Stack ...
- linear algebra - Help with summation question? - Mathematics Stack Exchange
- Summation combined with limits - Mathematics Stack Exchange
- Summation problem. desperate for help : r/calculus
- Answer to the summation - Mathematics Stack Exchange
- I don't understand this summation simplication (Simple problem ...
- help with this summation problem : r/calculus
- algebra precalculus - Can you help me solve this summation ...