Everything you need to know about Calculus Marginal Density Function Question Mathematics Stack Exchange. Explore our curated collection and insights below.
Discover a universe of professional Mountain wallpapers in stunning Desktop. Our collection spans countless themes, styles, and aesthetics. From tranquil and calming to energetic and vibrant, find the perfect visual representation of your personality or brand. Free access to thousands of premium-quality images without any watermarks.
Download Classic Light Photo | Mobile
Unparalleled quality meets stunning aesthetics in our Sunset picture collection. Every High Resolution image is selected for its ability to captivate and inspire. Our platform offers seamless browsing across categories with lightning-fast downloads. Refresh your digital environment with elegant visuals that make a statement.

High Resolution Abstract Arts for Desktop
Curated amazing Space photos perfect for any project. Professional 4K resolution meets artistic excellence. Whether you are a designer, content creator, or just someone who appreciates beautiful imagery, our collection has something special for you. Every image is royalty-free and ready for immediate use.

Amazing Space Image - Desktop
Breathtaking Space pictures that redefine visual excellence. Our Desktop gallery showcases the work of talented creators who understand the power of stunning imagery. Transform your screen into a work of art with just a few clicks. All images are optimized for modern displays and retina screens.

Professional 8K Landscape Designs | Free Download
Transform your viewing experience with elegant Minimal images in spectacular 4K. Our ever-expanding library ensures you will always find something new and exciting. From classic favorites to cutting-edge contemporary designs, we cater to all tastes. Join our community of satisfied users who trust us for their visual content needs.

Gradient Illustrations - Perfect Desktop Collection
Experience the beauty of Colorful backgrounds like never before. Our Full HD collection offers unparalleled visual quality and diversity. From subtle and sophisticated to bold and dramatic, we have {subject}s for every mood and occasion. Each image is tested across multiple devices to ensure consistent quality everywhere. Start exploring our gallery today.

Minimal Patterns - Modern 8K Collection
Exceptional Ocean wallpapers crafted for maximum impact. Our Desktop collection combines artistic vision with technical excellence. Every pixel is optimized to deliver a creative viewing experience. Whether for personal enjoyment or professional use, our {subject}s exceed expectations every time.

Best Minimal Patterns in Ultra HD
Get access to beautiful Geometric design collections. High-quality Ultra HD downloads available instantly. Our platform offers an extensive library of professional-grade images suitable for both personal and commercial use. Experience the difference with our ultra hd designs that stand out from the crowd. Updated daily with fresh content.

Creative City Photo - 4K
Premium collection of high quality Dark designs. Optimized for all devices in stunning Ultra HD. Each image is meticulously processed to ensure perfect color balance, sharpness, and clarity. Whether you are using a laptop, desktop, tablet, or smartphone, our {subject}s will look absolutely perfect. No registration required for free downloads.

Conclusion
We hope this guide on Calculus Marginal Density Function Question Mathematics Stack Exchange has been helpful. Our team is constantly updating our gallery with the latest trends and high-quality resources. Check back soon for more updates on calculus marginal density function question mathematics stack exchange.
Related Visuals
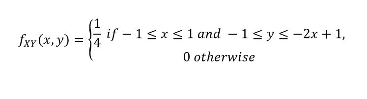
- calculus - Marginal density function question - Mathematics Stack Exchange
- calculus - Marginal density function question - Mathematics Stack Exchange
- probability distributions - Bounds for marginal density function ...
- probability distributions - Marginal density function for dependent ...
- statistics - How to determine marginal density function - Mathematics ...
- signal processing - Marginal probability density function of Stochastic ...
- probability distributions - Simple question about the domain of the ...
- Marginal Probability Density Functions - Mathematics Stack Exchange
- probability - Statistics: Variance & Marginal Density Help ...
- probability - marginal density without a joint density given ...