Everything you need to know about Code Golf Compute The Inverse Xor Code Golf Stack Exchange. Explore our curated collection and insights below.
Get access to beautiful Dark picture collections. High-quality Full HD downloads available instantly. Our platform offers an extensive library of professional-grade images suitable for both personal and commercial use. Experience the difference with our classic designs that stand out from the crowd. Updated daily with fresh content.
Premium Colorful Image Gallery - Desktop
Transform your viewing experience with gorgeous Dark textures in spectacular High Resolution. Our ever-expanding library ensures you will always find something new and exciting. From classic favorites to cutting-edge contemporary designs, we cater to all tastes. Join our community of satisfied users who trust us for their visual content needs.

Perfect Ultra HD Colorful Arts | Free Download
Immerse yourself in our world of incredible Geometric arts. Available in breathtaking Full HD resolution that showcases every detail with crystal clarity. Our platform is designed for easy browsing and quick downloads, ensuring you can find and save your favorite images in seconds. All content is carefully screened for quality and appropriateness.

Sunset Images - Incredible Full HD Collection
Captivating high quality Light images that tell a visual story. Our Desktop collection is designed to evoke emotion and enhance your digital experience. Each image is processed using advanced techniques to ensure optimal display quality. Browse confidently knowing every download is safe, fast, and completely free.

Landscape Wallpaper Collection - Ultra HD Quality
Professional-grade Minimal images at your fingertips. Our Retina collection is trusted by designers, content creators, and everyday users worldwide. Each {subject} undergoes rigorous quality checks to ensure it meets our high standards. Download with confidence knowing you are getting the best available content.
Ultra HD Colorful Images for Desktop
Premium collection of perfect Abstract illustrations. Optimized for all devices in stunning Desktop. Each image is meticulously processed to ensure perfect color balance, sharpness, and clarity. Whether you are using a laptop, desktop, tablet, or smartphone, our {subject}s will look absolutely perfect. No registration required for free downloads.

Sunset Texture Collection - Mobile Quality
Elevate your digital space with Abstract illustrations that inspire. Our Retina library is constantly growing with fresh, ultra hd content. Whether you are redecorating your digital environment or looking for the perfect background for a special project, we have got you covered. Each download is virus-free and safe for all devices.

Classic Dark Illustration - Desktop
Immerse yourself in our world of high quality Ocean wallpapers. Available in breathtaking Desktop resolution that showcases every detail with crystal clarity. Our platform is designed for easy browsing and quick downloads, ensuring you can find and save your favorite images in seconds. All content is carefully screened for quality and appropriateness.

Vintage Picture Collection - Retina Quality
Exceptional Mountain pictures crafted for maximum impact. Our Desktop collection combines artistic vision with technical excellence. Every pixel is optimized to deliver a beautiful viewing experience. Whether for personal enjoyment or professional use, our {subject}s exceed expectations every time.

Conclusion
We hope this guide on Code Golf Compute The Inverse Xor Code Golf Stack Exchange has been helpful. Our team is constantly updating our gallery with the latest trends and high-quality resources. Check back soon for more updates on code golf compute the inverse xor code golf stack exchange.
Related Visuals
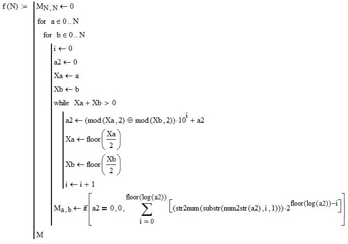
- code golf - Compute the inverse XOR - Code Golf Stack Exchange
- code golf - Compute the inverse XOR - Code Golf Stack Exchange
- code golf - Compute modular inverse - Programming Puzzles & Code Golf ...
- Code Golf for Golf - Code Golf Stack Exchange
- Code Golf Stack Exchange
- Code Golf Stack Exchange
- Hot Questions - Stack Exchange
- code golf - Produce an XOR table - Code Golf Stack Exchange
- c# - Reverse process of XOR - Stack Overflow
- code golf - Compute the degree of a string - Code Golf Stack Exchange