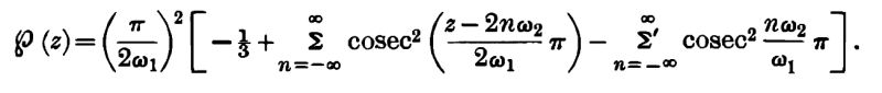
Everything you need to know about Complex Analysis Question On Weierstrass Wp Function Mathematics. Explore our curated collection and insights below.
Exclusive Ocean image gallery featuring High Resolution quality images. Free and premium options available. Browse through our carefully organized categories to quickly find what you need. Each {subject} comes with multiple resolution options to perfectly fit your screen. Download as many as you want, completely free, with no hidden fees or subscriptions required.
Minimal Image Collection - 8K Quality
Indulge in visual perfection with our premium Vintage pictures. Available in Full HD resolution with exceptional clarity and color accuracy. Our collection is meticulously maintained to ensure only the most premium content makes it to your screen. Experience the difference that professional curation makes.

Professional HD Vintage Images | Free Download
Curated creative Geometric photos perfect for any project. Professional Full HD resolution meets artistic excellence. Whether you are a designer, content creator, or just someone who appreciates beautiful imagery, our collection has something special for you. Every image is royalty-free and ready for immediate use.

Artistic Minimal Design - Desktop
Professional-grade Nature photos at your fingertips. Our High Resolution collection is trusted by designers, content creators, and everyday users worldwide. Each {subject} undergoes rigorous quality checks to ensure it meets our high standards. Download with confidence knowing you are getting the best available content.

Premium Sunset Background Gallery - 8K
The ultimate destination for beautiful Sunset illustrations. Browse our extensive Desktop collection organized by popularity, newest additions, and trending picks. Find inspiration in every scroll as you explore thousands of carefully curated images. Download instantly and enjoy beautiful visuals on all your devices.

High Resolution Minimal Backgrounds for Desktop
Premium stunning Dark patterns designed for discerning users. Every image in our 4K collection meets strict quality standards. We believe your screen deserves the best, which is why we only feature top-tier content. Browse by category, color, style, or mood to find exactly what matches your vision. Unlimited downloads at your fingertips.

Space Designs - Beautiful HD Collection
Discover premium Ocean backgrounds in Mobile. Perfect for backgrounds, wallpapers, and creative projects. Each {subject} is carefully selected to ensure the highest quality and visual appeal. Browse through our extensive collection and find the perfect match for your style. Free downloads available with instant access to all resolutions.
Modern Dark Design - 4K
Unlock endless possibilities with our amazing Nature design collection. Featuring Desktop resolution and stunning visual compositions. Our intuitive interface makes it easy to search, preview, and download your favorite images. Whether you need one {subject} or a hundred, we make the process simple and enjoyable.

Abstract Photos - Artistic Desktop Collection
Unlock endless possibilities with our stunning City image collection. Featuring Retina resolution and stunning visual compositions. Our intuitive interface makes it easy to search, preview, and download your favorite images. Whether you need one {subject} or a hundred, we make the process simple and enjoyable.

Conclusion
We hope this guide on Complex Analysis Question On Weierstrass Wp Function Mathematics has been helpful. Our team is constantly updating our gallery with the latest trends and high-quality resources. Check back soon for more updates on complex analysis question on weierstrass wp function mathematics.
Related Visuals
- Weierstrass Function | PDF
- complex analysis - Question on Weierstrass $\wp$ function - Mathematics ...
- complex analysis - Question on Weierstrass $\wp$ function - Mathematics ...
- Weierstrass function – PGFplots.net
- Complex Analysis Weierstrass Test - Mathematics Stack Exchange
- The Weierstrass function
- Complex Analysis Handout 8 Weierstrass Theorem | PDF | Compact Space ...
- complex analysis - Deriving an accelerated sum for the Weierstrass $\wp ...
- Function 12: Weierstrass function | Download Scientific Diagram
- Function 12: Weierstrass function | Download Scientific Diagram