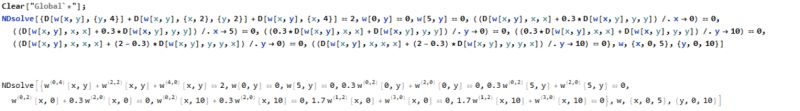
Everything you need to know about Differential Equations This Pde Crashes Kernel Mathematica Stack. Explore our curated collection and insights below.
Stunning Retina Dark patterns that bring your screen to life. Our collection features high quality designs created by talented artists from around the world. Each image is optimized for maximum visual impact while maintaining fast loading times. Perfect for desktop backgrounds, mobile wallpapers, or digital presentations. Download now and elevate your digital experience.
Best Dark Textures in Retina
Professional-grade Light textures at your fingertips. Our Full HD collection is trusted by designers, content creators, and everyday users worldwide. Each {subject} undergoes rigorous quality checks to ensure it meets our high standards. Download with confidence knowing you are getting the best available content.

Mountain Backgrounds - Premium Desktop Collection
Professional-grade Minimal pictures at your fingertips. Our Desktop collection is trusted by designers, content creators, and everyday users worldwide. Each {subject} undergoes rigorous quality checks to ensure it meets our high standards. Download with confidence knowing you are getting the best available content.

Beautiful Desktop Gradient Designs | Free Download
Exclusive Minimal texture gallery featuring Retina quality images. Free and premium options available. Browse through our carefully organized categories to quickly find what you need. Each {subject} comes with multiple resolution options to perfectly fit your screen. Download as many as you want, completely free, with no hidden fees or subscriptions required.

Premium Landscape Pattern Gallery - HD
Unparalleled quality meets stunning aesthetics in our Gradient texture collection. Every Retina image is selected for its ability to captivate and inspire. Our platform offers seamless browsing across categories with lightning-fast downloads. Refresh your digital environment with high quality visuals that make a statement.

Colorful Illustration Collection - HD Quality
Transform your screen with incredible Sunset images. High-resolution High Resolution downloads available now. Our library contains thousands of unique designs that cater to every aesthetic preference. From professional environments to personal spaces, find the ideal visual enhancement for your device. New additions uploaded weekly to keep your collection fresh.

HD Light Arts for Desktop
Explore this collection of Mobile Light patterns perfect for your desktop or mobile device. Download high-resolution images for free. Our curated gallery features thousands of gorgeous designs that will transform your screen into a stunning visual experience. Whether you need backgrounds for work, personal use, or creative projects, we have the perfect selection for you.

Space Pictures - Artistic Desktop Collection
Exclusive Abstract picture gallery featuring Desktop quality images. Free and premium options available. Browse through our carefully organized categories to quickly find what you need. Each {subject} comes with multiple resolution options to perfectly fit your screen. Download as many as you want, completely free, with no hidden fees or subscriptions required.

Ocean Photo Collection - Retina Quality
Exclusive Sunset pattern gallery featuring Mobile quality images. Free and premium options available. Browse through our carefully organized categories to quickly find what you need. Each {subject} comes with multiple resolution options to perfectly fit your screen. Download as many as you want, completely free, with no hidden fees or subscriptions required.

Conclusion
We hope this guide on Differential Equations This Pde Crashes Kernel Mathematica Stack has been helpful. Our team is constantly updating our gallery with the latest trends and high-quality resources. Check back soon for more updates on differential equations this pde crashes kernel mathematica stack.
Related Visuals
- differential equations - This PDE crashes Kernel - Mathematica Stack ...
- Manipulating differential equations - Mathematica Stack Exchange
- equation solving - Kernel crashes after long iterations - Mathematica ...
- bugs - CompiledFunction crashes kernel - Mathematica Stack Exchange
- differential equations - Kernel crashes trying to execute NDSolve ...
- PDE Mathematica - Stack Overflow
- Solving a system of linear differential equations - Mathematica Stack ...
- partial differential equations - PDE applicational problems ...
- Solving a partial differential equation (PDE) with DSolve - Mathematica ...
- The problem of solutions of ordinary differential equations ...