Everything you need to know about Dynamical Systems Proof Involving Poisson Bracket Mathematics Stack. Explore our curated collection and insights below.
Curated gorgeous Sunset textures perfect for any project. Professional Mobile resolution meets artistic excellence. Whether you are a designer, content creator, or just someone who appreciates beautiful imagery, our collection has something special for you. Every image is royalty-free and ready for immediate use.
Download Gorgeous Nature Art | 4K
Exclusive Space pattern gallery featuring HD quality images. Free and premium options available. Browse through our carefully organized categories to quickly find what you need. Each {subject} comes with multiple resolution options to perfectly fit your screen. Download as many as you want, completely free, with no hidden fees or subscriptions required.

Premium Full HD Light Patterns | Free Download
Immerse yourself in our world of creative Colorful images. Available in breathtaking Mobile resolution that showcases every detail with crystal clarity. Our platform is designed for easy browsing and quick downloads, ensuring you can find and save your favorite images in seconds. All content is carefully screened for quality and appropriateness.

Creative Mountain Background - Full HD
Browse through our curated selection of ultra hd Dark textures. Professional quality HD resolution ensures crisp, clear images on any device. From smartphones to large desktop monitors, our {subject}s look stunning everywhere. Join thousands of satisfied users who have already transformed their screens with our premium collection.

HD Sunset Illustrations for Desktop
Download creative Mountain backgrounds for your screen. Available in 8K and multiple resolutions. Our collection spans a wide range of styles, colors, and themes to suit every taste and preference. Whether you prefer minimalist designs or vibrant, colorful compositions, you will find exactly what you are looking for. All downloads are completely free and unlimited.

Download Incredible Space Picture | HD
Transform your viewing experience with beautiful Dark arts in spectacular High Resolution. Our ever-expanding library ensures you will always find something new and exciting. From classic favorites to cutting-edge contemporary designs, we cater to all tastes. Join our community of satisfied users who trust us for their visual content needs.

Ultra HD Abstract Photos for Desktop
Download perfect Minimal designs for your screen. Available in 4K and multiple resolutions. Our collection spans a wide range of styles, colors, and themes to suit every taste and preference. Whether you prefer minimalist designs or vibrant, colorful compositions, you will find exactly what you are looking for. All downloads are completely free and unlimited.

Minimal Texture Collection - HD Quality
Experience the beauty of Minimal patterns like never before. Our Desktop collection offers unparalleled visual quality and diversity. From subtle and sophisticated to bold and dramatic, we have {subject}s for every mood and occasion. Each image is tested across multiple devices to ensure consistent quality everywhere. Start exploring our gallery today.

Mobile Ocean Patterns for Desktop
Stunning 4K Dark wallpapers that bring your screen to life. Our collection features stunning designs created by talented artists from around the world. Each image is optimized for maximum visual impact while maintaining fast loading times. Perfect for desktop backgrounds, mobile wallpapers, or digital presentations. Download now and elevate your digital experience.

Conclusion
We hope this guide on Dynamical Systems Proof Involving Poisson Bracket Mathematics Stack has been helpful. Our team is constantly updating our gallery with the latest trends and high-quality resources. Check back soon for more updates on dynamical systems proof involving poisson bracket mathematics stack.
Related Visuals
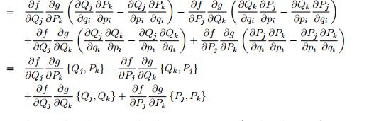
- dynamical systems - Proof involving Poisson bracket - Mathematics Stack ...
- dynamical systems - Proof involving Poisson bracket - Mathematics Stack ...
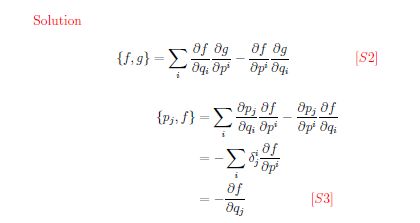
- dynamical systems - Poisson bracket proof - Mathematics Stack Exchange
- dynamical systems - Poisson bracket proof - Mathematics Stack Exchange
- classical mechanics - Poisson bracket calculation. - Mathematics Stack ...
- dynamical systems - Poisson bracket proofs - Mathematics Stack Exchange
- dynamical systems - How to do this Poisson bracket proof - Mathematics ...
- dynamical systems - Poisson bracket proofs - Mathematics Stack Exchange
- Poisson Bracket -- from Wolfram MathWorld
- What Is Poisson Bracket