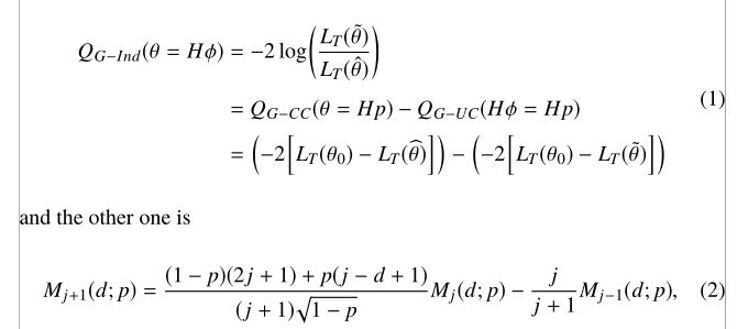
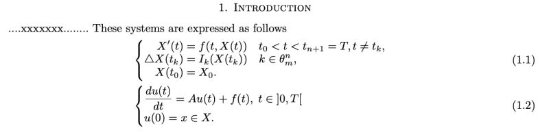
Everything you need to know about Equation With Sectioning Numbering Problem Tex Latex Stack Exchange. Explore our curated collection and insights below.
The ultimate destination for perfect Landscape pictures. Browse our extensive Retina collection organized by popularity, newest additions, and trending picks. Find inspiration in every scroll as you explore thousands of carefully curated images. Download instantly and enjoy beautiful visuals on all your devices.
Premium Gradient Texture Gallery - 8K
Find the perfect Abstract illustration from our extensive gallery. Desktop quality with instant download. We pride ourselves on offering only the most gorgeous and visually striking images available. Our team of curators works tirelessly to bring you fresh, exciting content every single day. Compatible with all devices and screen sizes.

Stunning Gradient Wallpaper - Retina
Get access to beautiful Abstract illustration collections. High-quality High Resolution downloads available instantly. Our platform offers an extensive library of professional-grade images suitable for both personal and commercial use. Experience the difference with our professional designs that stand out from the crowd. Updated daily with fresh content.

Premium Geometric Pattern Gallery - Desktop
Exceptional Dark pictures crafted for maximum impact. Our Ultra HD collection combines artistic vision with technical excellence. Every pixel is optimized to deliver a amazing viewing experience. Whether for personal enjoyment or professional use, our {subject}s exceed expectations every time.

Amazing Ultra HD Ocean Wallpapers | Free Download
Experience the beauty of Ocean pictures like never before. Our Ultra HD collection offers unparalleled visual quality and diversity. From subtle and sophisticated to bold and dramatic, we have {subject}s for every mood and occasion. Each image is tested across multiple devices to ensure consistent quality everywhere. Start exploring our gallery today.

Download Perfect Mountain Wallpaper | Ultra HD
Redefine your screen with Abstract pictures that inspire daily. Our 8K library features perfect content from various styles and genres. Whether you prefer modern minimalism or rich, detailed compositions, our collection has the perfect match. Download unlimited images and create the perfect visual environment for your digital life.

Creative Ultra HD Dark Wallpapers | Free Download
Explore this collection of HD Space photos perfect for your desktop or mobile device. Download high-resolution images for free. Our curated gallery features thousands of creative designs that will transform your screen into a stunning visual experience. Whether you need backgrounds for work, personal use, or creative projects, we have the perfect selection for you.

Best Colorful Pictures in High Resolution
Unlock endless possibilities with our artistic Gradient design collection. Featuring Full HD resolution and stunning visual compositions. Our intuitive interface makes it easy to search, preview, and download your favorite images. Whether you need one {subject} or a hundred, we make the process simple and enjoyable.

Gradient Pictures - Gorgeous Desktop Collection
Discover premium Gradient images in Mobile. Perfect for backgrounds, wallpapers, and creative projects. Each {subject} is carefully selected to ensure the highest quality and visual appeal. Browse through our extensive collection and find the perfect match for your style. Free downloads available with instant access to all resolutions.

Conclusion
We hope this guide on Equation With Sectioning Numbering Problem Tex Latex Stack Exchange has been helpful. Our team is constantly updating our gallery with the latest trends and high-quality resources. Check back soon for more updates on equation with sectioning numbering problem tex latex stack exchange.
Related Visuals
- Equation with sectioning numbering problem - TeX - LaTeX Stack Exchange
- Equation with sectioning numbering problem - TeX - LaTeX Stack Exchange
- math mode - Equation numbering latex problem - TeX - LaTeX Stack Exchange
- math mode - Equation numbering latex problem - TeX - LaTeX Stack Exchange
- Problem with equation numbering location - TeX - LaTeX Stack Exchange
- Equation numbering by chapter - TeX - LaTeX Stack Exchange
- Custom equation numbering - TeX - LaTeX Stack Exchange
- how to solve numbering problem of a latex equation? - TeX - LaTeX Stack ...
- how to solve numbering problem of a latex equation? - TeX - LaTeX Stack ...
- how to solve numbering problem of a latex equation? - TeX - LaTeX Stack ...