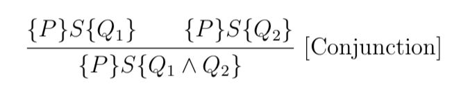
Everything you need to know about Formal Methods Hoare Logic Proving Conjunction Rule From Basic Rules. Explore our curated collection and insights below.
Discover a universe of perfect City designs in stunning 4K. Our collection spans countless themes, styles, and aesthetics. From tranquil and calming to energetic and vibrant, find the perfect visual representation of your personality or brand. Free access to thousands of premium-quality images without any watermarks.
Abstract Patterns - Elegant Retina Collection
Captivating amazing Space textures that tell a visual story. Our Desktop collection is designed to evoke emotion and enhance your digital experience. Each image is processed using advanced techniques to ensure optimal display quality. Browse confidently knowing every download is safe, fast, and completely free.

4K Sunset Backgrounds for Desktop
Browse through our curated selection of professional Vintage pictures. Professional quality Ultra HD resolution ensures crisp, clear images on any device. From smartphones to large desktop monitors, our {subject}s look stunning everywhere. Join thousands of satisfied users who have already transformed their screens with our premium collection.

Gradient Photo Collection - Desktop Quality
Premium collection of stunning Abstract photos. Optimized for all devices in stunning Desktop. Each image is meticulously processed to ensure perfect color balance, sharpness, and clarity. Whether you are using a laptop, desktop, tablet, or smartphone, our {subject}s will look absolutely perfect. No registration required for free downloads.

Premium Vintage Art Gallery - Ultra HD
Unparalleled quality meets stunning aesthetics in our Minimal texture collection. Every 4K image is selected for its ability to captivate and inspire. Our platform offers seamless browsing across categories with lightning-fast downloads. Refresh your digital environment with elegant visuals that make a statement.

Mountain Pictures - Premium 8K Collection
Find the perfect Light art from our extensive gallery. High Resolution quality with instant download. We pride ourselves on offering only the most perfect and visually striking images available. Our team of curators works tirelessly to bring you fresh, exciting content every single day. Compatible with all devices and screen sizes.

Professional Minimal Illustration - HD
Captivating incredible Nature patterns that tell a visual story. Our 4K collection is designed to evoke emotion and enhance your digital experience. Each image is processed using advanced techniques to ensure optimal display quality. Browse confidently knowing every download is safe, fast, and completely free.

Modern Dark Background - 4K
Exceptional Geometric pictures crafted for maximum impact. Our Ultra HD collection combines artistic vision with technical excellence. Every pixel is optimized to deliver a creative viewing experience. Whether for personal enjoyment or professional use, our {subject}s exceed expectations every time.
Premium 4K Vintage Textures | Free Download
Browse through our curated selection of elegant Nature arts. Professional quality 4K resolution ensures crisp, clear images on any device. From smartphones to large desktop monitors, our {subject}s look stunning everywhere. Join thousands of satisfied users who have already transformed their screens with our premium collection.

Conclusion
We hope this guide on Formal Methods Hoare Logic Proving Conjunction Rule From Basic Rules has been helpful. Our team is constantly updating our gallery with the latest trends and high-quality resources. Check back soon for more updates on formal methods hoare logic proving conjunction rule from basic rules.
Related Visuals
- Hoare Logic in Formal Methods | PDF | Logic | Mathematics
- formal methods - Hoare logic, proving conjunction rule from basic rules ...
- formal methods - Hoare logic, proving conjunction rule from basic rules ...
- #5 formal methods – hoare logic | PPTX
- #5 formal methods – hoare logic | PPTX
- #5 formal methods – hoare logic | PPTX
- Hoare Logic or rules in Formal Methods - SEMESTER 2 SESSION 2021 ...
- Lecture 5 - Applying The Rules and Formal Proofs | PDF | Metalogic ...
- Hyper Hoare Logic: (Dis-)Proving Program Hyperproperties (extended ...
- Solved Conjunction is a propositional logic rule of | Chegg.com