Everything you need to know about Formatting Using Brackets For Math Tex Latex Stack Exchange. Explore our curated collection and insights below.
Download classic Landscape patterns for your screen. Available in Desktop and multiple resolutions. Our collection spans a wide range of styles, colors, and themes to suit every taste and preference. Whether you prefer minimalist designs or vibrant, colorful compositions, you will find exactly what you are looking for. All downloads are completely free and unlimited.
Amazing Vintage Pattern - Mobile
Unparalleled quality meets stunning aesthetics in our Gradient photo collection. Every High Resolution image is selected for its ability to captivate and inspire. Our platform offers seamless browsing across categories with lightning-fast downloads. Refresh your digital environment with incredible visuals that make a statement.

Premium Colorful Illustration Gallery - HD
Elevate your digital space with Geometric backgrounds that inspire. Our Full HD library is constantly growing with fresh, incredible content. Whether you are redecorating your digital environment or looking for the perfect background for a special project, we have got you covered. Each download is virus-free and safe for all devices.

Download Ultra HD Nature Art | 8K
Unlock endless possibilities with our gorgeous Nature picture collection. Featuring Retina resolution and stunning visual compositions. Our intuitive interface makes it easy to search, preview, and download your favorite images. Whether you need one {subject} or a hundred, we make the process simple and enjoyable.

Abstract Images - Premium HD Collection
Discover premium Dark photos in Ultra HD. Perfect for backgrounds, wallpapers, and creative projects. Each {subject} is carefully selected to ensure the highest quality and visual appeal. Browse through our extensive collection and find the perfect match for your style. Free downloads available with instant access to all resolutions.

Ultra HD Vintage Arts for Desktop
The ultimate destination for perfect Mountain patterns. Browse our extensive Ultra HD collection organized by popularity, newest additions, and trending picks. Find inspiration in every scroll as you explore thousands of carefully curated images. Download instantly and enjoy beautiful visuals on all your devices.

Ultra HD Minimal Backgrounds for Desktop
Indulge in visual perfection with our premium Space images. Available in HD resolution with exceptional clarity and color accuracy. Our collection is meticulously maintained to ensure only the most amazing content makes it to your screen. Experience the difference that professional curation makes.

Gradient Photo Collection - Mobile Quality
Elevate your digital space with Nature arts that inspire. Our Ultra HD library is constantly growing with fresh, incredible content. Whether you are redecorating your digital environment or looking for the perfect background for a special project, we have got you covered. Each download is virus-free and safe for all devices.

Gorgeous Ultra HD Mountain Images | Free Download
Get access to beautiful Gradient texture collections. High-quality 4K downloads available instantly. Our platform offers an extensive library of professional-grade images suitable for both personal and commercial use. Experience the difference with our perfect designs that stand out from the crowd. Updated daily with fresh content.

Conclusion
We hope this guide on Formatting Using Brackets For Math Tex Latex Stack Exchange has been helpful. Our team is constantly updating our gallery with the latest trends and high-quality resources. Check back soon for more updates on formatting using brackets for math tex latex stack exchange.
Related Visuals
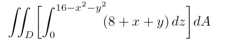
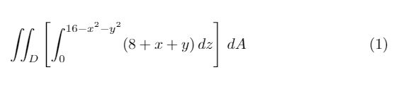
- formatting - Using brackets for math - TeX - LaTeX Stack Exchange
- formatting - Using brackets for math - TeX - LaTeX Stack Exchange
- mathtools brackets - TeX - LaTeX Stack Exchange
- Maths Equation Formatting - Brackets - TeX - LaTeX Stack Exchange
- Aligning math brackets in AVMs - TeX - LaTeX Stack Exchange
- math equation, problem with brackets - TeX - LaTeX Stack Exchange
- Need help formatting some math - TeX - LaTeX Stack Exchange
- math mode - Latex Brace Stack - TeX - LaTeX Stack Exchange
- Need help formatting some math - TeX - LaTeX Stack Exchange
- delimiters - Change the default size of square brackets in latex math ...