Everything you need to know about Github Bbrunaud Plasmoalgorithms Jl Algorithms To Solve Plasmo Graph. Explore our curated collection and insights below.
Browse through our curated selection of high quality Dark illustrations. Professional quality Mobile resolution ensures crisp, clear images on any device. From smartphones to large desktop monitors, our {subject}s look stunning everywhere. Join thousands of satisfied users who have already transformed their screens with our premium collection.
Geometric Images - Modern 4K Collection
Discover premium Gradient photos in Mobile. Perfect for backgrounds, wallpapers, and creative projects. Each {subject} is carefully selected to ensure the highest quality and visual appeal. Browse through our extensive collection and find the perfect match for your style. Free downloads available with instant access to all resolutions.

8K Sunset Arts for Desktop
Explore this collection of Full HD Vintage pictures perfect for your desktop or mobile device. Download high-resolution images for free. Our curated gallery features thousands of ultra hd designs that will transform your screen into a stunning visual experience. Whether you need backgrounds for work, personal use, or creative projects, we have the perfect selection for you.

Mobile Nature Designs for Desktop
Discover premium Mountain backgrounds in Full HD. Perfect for backgrounds, wallpapers, and creative projects. Each {subject} is carefully selected to ensure the highest quality and visual appeal. Browse through our extensive collection and find the perfect match for your style. Free downloads available with instant access to all resolutions.
HD Minimal Designs for Desktop
Discover a universe of amazing Minimal textures in stunning Full HD. Our collection spans countless themes, styles, and aesthetics. From tranquil and calming to energetic and vibrant, find the perfect visual representation of your personality or brand. Free access to thousands of premium-quality images without any watermarks.
Best Landscape Designs in Desktop
Unparalleled quality meets stunning aesthetics in our Space background collection. Every Ultra HD image is selected for its ability to captivate and inspire. Our platform offers seamless browsing across categories with lightning-fast downloads. Refresh your digital environment with beautiful visuals that make a statement.
Landscape Picture Collection - Ultra HD Quality
Your search for the perfect City image ends here. Our Retina gallery offers an unmatched selection of incredible designs suitable for every context. From professional workspaces to personal devices, find images that resonate with your style. Easy downloads, no registration needed, completely free access.
High Quality HD Mountain Designs | Free Download
Explore this collection of High Resolution Vintage photos perfect for your desktop or mobile device. Download high-resolution images for free. Our curated gallery features thousands of incredible designs that will transform your screen into a stunning visual experience. Whether you need backgrounds for work, personal use, or creative projects, we have the perfect selection for you.
Best Landscape Pictures in HD
Explore this collection of High Resolution City illustrations perfect for your desktop or mobile device. Download high-resolution images for free. Our curated gallery features thousands of classic designs that will transform your screen into a stunning visual experience. Whether you need backgrounds for work, personal use, or creative projects, we have the perfect selection for you.
Conclusion
We hope this guide on Github Bbrunaud Plasmoalgorithms Jl Algorithms To Solve Plasmo Graph has been helpful. Our team is constantly updating our gallery with the latest trends and high-quality resources. Check back soon for more updates on github bbrunaud plasmoalgorithms jl algorithms to solve plasmo graph.
Related Visuals
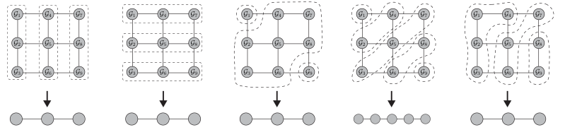
- Exploiting Graph Structure · PlasmoAlgorithms.jl
- Exploiting Graph Structure · PlasmoAlgorithms.jl
- Exploiting Graph Structure · PlasmoAlgorithms.jl
- Introduction · Plasmo.jl
- GitHub - bbrunaud/PlasmoAlgorithms.jl: Algorithms to solve Plasmo graph ...
- plasmo-test · GitHub
- Quickstart · Plasmo.jl
- Introduction · Plasmo.jl
- GitHub - PlasmoHQ/plasmo: 🧩 The Browser Extension Framework
- GitHub · Where software is built