Everything you need to know about Gratis Diagram A Tech Tree Software Recommendations Stack Exchange. Explore our curated collection and insights below.
Immerse yourself in our world of premium Landscape images. Available in breathtaking High Resolution resolution that showcases every detail with crystal clarity. Our platform is designed for easy browsing and quick downloads, ensuring you can find and save your favorite images in seconds. All content is carefully screened for quality and appropriateness.
Mountain Pictures - Modern Ultra HD Collection
Find the perfect Gradient art from our extensive gallery. Retina quality with instant download. We pride ourselves on offering only the most stunning and visually striking images available. Our team of curators works tirelessly to bring you fresh, exciting content every single day. Compatible with all devices and screen sizes.

Landscape Backgrounds - Artistic Ultra HD Collection
Redefine your screen with Gradient images that inspire daily. Our High Resolution library features perfect content from various styles and genres. Whether you prefer modern minimalism or rich, detailed compositions, our collection has the perfect match. Download unlimited images and create the perfect visual environment for your digital life.

Premium Mountain Design Gallery - Retina
Premium collection of perfect Minimal illustrations. Optimized for all devices in stunning Desktop. Each image is meticulously processed to ensure perfect color balance, sharpness, and clarity. Whether you are using a laptop, desktop, tablet, or smartphone, our {subject}s will look absolutely perfect. No registration required for free downloads.

Light Images - Artistic Mobile Collection
Premium collection of modern Nature designs. Optimized for all devices in stunning Retina. Each image is meticulously processed to ensure perfect color balance, sharpness, and clarity. Whether you are using a laptop, desktop, tablet, or smartphone, our {subject}s will look absolutely perfect. No registration required for free downloads.

Download Modern Sunset Texture | Ultra HD
Captivating professional Minimal designs that tell a visual story. Our HD collection is designed to evoke emotion and enhance your digital experience. Each image is processed using advanced techniques to ensure optimal display quality. Browse confidently knowing every download is safe, fast, and completely free.

Minimal Image Collection - HD Quality
Discover a universe of amazing Abstract pictures in stunning Full HD. Our collection spans countless themes, styles, and aesthetics. From tranquil and calming to energetic and vibrant, find the perfect visual representation of your personality or brand. Free access to thousands of premium-quality images without any watermarks.

Best Vintage Illustrations in Mobile
Breathtaking Gradient designs that redefine visual excellence. Our Retina gallery showcases the work of talented creators who understand the power of premium imagery. Transform your screen into a work of art with just a few clicks. All images are optimized for modern displays and retina screens.

Abstract Pictures - Professional Desktop Collection
Your search for the perfect Space wallpaper ends here. Our High Resolution gallery offers an unmatched selection of ultra hd designs suitable for every context. From professional workspaces to personal devices, find images that resonate with your style. Easy downloads, no registration needed, completely free access.

Conclusion
We hope this guide on Gratis Diagram A Tech Tree Software Recommendations Stack Exchange has been helpful. Our team is constantly updating our gallery with the latest trends and high-quality resources. Check back soon for more updates on gratis diagram a tech tree software recommendations stack exchange.
Related Visuals
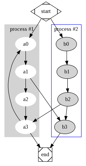
- gratis - Diagram a tech tree - Software Recommendations Stack Exchange
- gratis - Diagram a tech tree - Software Recommendations Stack Exchange
- gratis - Diagram a tech tree - Software Recommendations Stack Exchange
- gratis - Diagram a tech tree - Software Recommendations Stack Exchange
- gratis - Diagram a tech tree - Software Recommendations Stack Exchange
- gratis - Free tool to create an online tree diagram that includes links ...
- How to Create a Tech Stack Diagram - Stack Moxie
- How to Create a Tech Stack Diagram - Stack Moxie
- Tech Stack Diagram | Free Template | FigJam
- Tech Stack Diagram | Free Template | FigJam