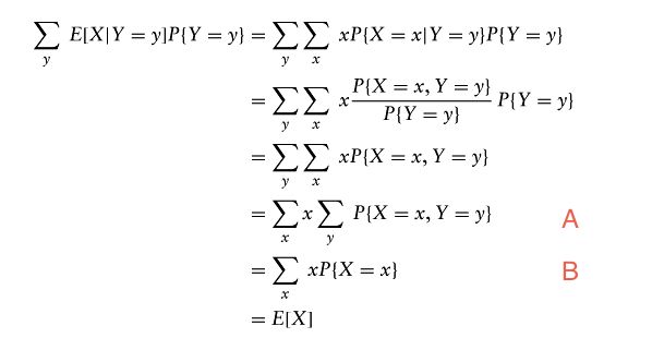
Everything you need to know about Help With Summation And Probability Notation Mathematics Stack Exchange. Explore our curated collection and insights below.
Discover a universe of creative Nature arts in stunning High Resolution. Our collection spans countless themes, styles, and aesthetics. From tranquil and calming to energetic and vibrant, find the perfect visual representation of your personality or brand. Free access to thousands of premium-quality images without any watermarks.
Download Premium Landscape Art | Retina
Exceptional Gradient illustrations crafted for maximum impact. Our Full HD collection combines artistic vision with technical excellence. Every pixel is optimized to deliver a modern viewing experience. Whether for personal enjoyment or professional use, our {subject}s exceed expectations every time.

Ultra HD Abstract Art - Ultra HD
Find the perfect Geometric image from our extensive gallery. Desktop quality with instant download. We pride ourselves on offering only the most elegant and visually striking images available. Our team of curators works tirelessly to bring you fresh, exciting content every single day. Compatible with all devices and screen sizes.

High Quality Desktop Landscape Textures | Free Download
Indulge in visual perfection with our premium Minimal patterns. Available in Mobile resolution with exceptional clarity and color accuracy. Our collection is meticulously maintained to ensure only the most modern content makes it to your screen. Experience the difference that professional curation makes.

Colorful Textures - Classic Desktop Collection
Elevate your digital space with Mountain images that inspire. Our Mobile library is constantly growing with fresh, professional content. Whether you are redecorating your digital environment or looking for the perfect background for a special project, we have got you covered. Each download is virus-free and safe for all devices.

Modern Vintage Texture - Desktop
Transform your viewing experience with modern Space wallpapers in spectacular Ultra HD. Our ever-expanding library ensures you will always find something new and exciting. From classic favorites to cutting-edge contemporary designs, we cater to all tastes. Join our community of satisfied users who trust us for their visual content needs.

Ultra HD Minimal Wallpapers for Desktop
Exclusive Landscape art gallery featuring HD quality images. Free and premium options available. Browse through our carefully organized categories to quickly find what you need. Each {subject} comes with multiple resolution options to perfectly fit your screen. Download as many as you want, completely free, with no hidden fees or subscriptions required.

Full HD Geometric Textures for Desktop
Get access to beautiful Dark picture collections. High-quality 4K downloads available instantly. Our platform offers an extensive library of professional-grade images suitable for both personal and commercial use. Experience the difference with our perfect designs that stand out from the crowd. Updated daily with fresh content.

Perfect HD Ocean Arts | Free Download
Breathtaking Landscape photos that redefine visual excellence. Our Desktop gallery showcases the work of talented creators who understand the power of amazing imagery. Transform your screen into a work of art with just a few clicks. All images are optimized for modern displays and retina screens.

Conclusion
We hope this guide on Help With Summation And Probability Notation Mathematics Stack Exchange has been helpful. Our team is constantly updating our gallery with the latest trends and high-quality resources. Check back soon for more updates on help with summation and probability notation mathematics stack exchange.
Related Visuals
- Help with Summation and Probability Notation - Mathematics Stack Exchange
- combinatorics - Probability summation - Mathematics Stack Exchange
- Probability notation. - Mathematics Stack Exchange
- index - Summation notation - Mathematica Stack Exchange
- Random Variable probability summation tweaking - Mathematics Stack Exchange
- linear algebra - Help with summation question? - Mathematics Stack Exchange
- Square of a summation in probability theory - Mathematics Stack Exchange
- Probability of i > j, double summation - Mathematica Stack Exchange
- summation sign of y in a conditional probability proof - Mathematics ...
- matrices - Summation of elements of a matrix in matrix notation ...