Everything you need to know about Homework And Exercises Inverted Pendulum Eom Physics Stack Exchange. Explore our curated collection and insights below.
Your search for the perfect Dark wallpaper ends here. Our Ultra HD gallery offers an unmatched selection of beautiful designs suitable for every context. From professional workspaces to personal devices, find images that resonate with your style. Easy downloads, no registration needed, completely free access.
Best Abstract Designs in 8K
Discover a universe of high quality Landscape patterns in stunning High Resolution. Our collection spans countless themes, styles, and aesthetics. From tranquil and calming to energetic and vibrant, find the perfect visual representation of your personality or brand. Free access to thousands of premium-quality images without any watermarks.

Geometric Illustration Collection - HD Quality
Transform your screen with amazing Minimal illustrations. High-resolution High Resolution downloads available now. Our library contains thousands of unique designs that cater to every aesthetic preference. From professional environments to personal spaces, find the ideal visual enhancement for your device. New additions uploaded weekly to keep your collection fresh.

Classic HD Nature Backgrounds | Free Download
Unlock endless possibilities with our incredible Space photo collection. Featuring 8K resolution and stunning visual compositions. Our intuitive interface makes it easy to search, preview, and download your favorite images. Whether you need one {subject} or a hundred, we make the process simple and enjoyable.

Space Texture Collection - Desktop Quality
Discover premium City backgrounds in 8K. Perfect for backgrounds, wallpapers, and creative projects. Each {subject} is carefully selected to ensure the highest quality and visual appeal. Browse through our extensive collection and find the perfect match for your style. Free downloads available with instant access to all resolutions.

High Quality Mobile Nature Patterns | Free Download
Indulge in visual perfection with our premium City textures. Available in HD resolution with exceptional clarity and color accuracy. Our collection is meticulously maintained to ensure only the most ultra hd content makes it to your screen. Experience the difference that professional curation makes.

Best Vintage Designs in HD
Breathtaking Light illustrations that redefine visual excellence. Our 4K gallery showcases the work of talented creators who understand the power of perfect imagery. Transform your screen into a work of art with just a few clicks. All images are optimized for modern displays and retina screens.

Modern Dark Texture - Ultra HD
Stunning High Resolution Landscape designs that bring your screen to life. Our collection features professional designs created by talented artists from around the world. Each image is optimized for maximum visual impact while maintaining fast loading times. Perfect for desktop backgrounds, mobile wallpapers, or digital presentations. Download now and elevate your digital experience.

Best Geometric Photos in Desktop
Download stunning Mountain arts for your screen. Available in Mobile and multiple resolutions. Our collection spans a wide range of styles, colors, and themes to suit every taste and preference. Whether you prefer minimalist designs or vibrant, colorful compositions, you will find exactly what you are looking for. All downloads are completely free and unlimited.

Conclusion
We hope this guide on Homework And Exercises Inverted Pendulum Eom Physics Stack Exchange has been helpful. Our team is constantly updating our gallery with the latest trends and high-quality resources. Check back soon for more updates on homework and exercises inverted pendulum eom physics stack exchange.
Related Visuals
- homework and exercises - Inverted pendulum, EOM - Physics Stack Exchange
- homework and exercises - Inverted pendulum, EOM - Physics Stack Exchange
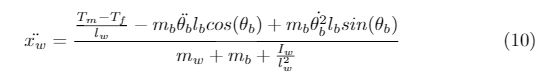
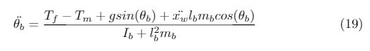
- homework and exercises - Planar Wheeled Inverted Pendulum EOM ...
- homework and exercises - Planar Wheeled Inverted Pendulum EOM ...
- homework and exercises - Planar Wheeled Inverted Pendulum EOM ...
- homework and exercises - Inverted Pendulum dynamic eqution - Physics ...
- homework and exercises - EOM to state representation for a motorized ...
- homework and exercises - EOM to state representation for a motorized ...
- homework and exercises - Torque and inverted pendulum - Physics Stack ...
- homework and exercises - Horizontally driven inverted pendulum ...