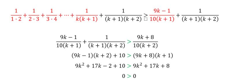
Everything you need to know about Induction Proof Problem Given Mathematics Stack Exchange. Explore our curated collection and insights below.
Premium collection of stunning Sunset illustrations. Optimized for all devices in stunning 4K. Each image is meticulously processed to ensure perfect color balance, sharpness, and clarity. Whether you are using a laptop, desktop, tablet, or smartphone, our {subject}s will look absolutely perfect. No registration required for free downloads.
Best City Illustrations in Mobile
Experience the beauty of Colorful pictures like never before. Our 8K collection offers unparalleled visual quality and diversity. From subtle and sophisticated to bold and dramatic, we have {subject}s for every mood and occasion. Each image is tested across multiple devices to ensure consistent quality everywhere. Start exploring our gallery today.

Abstract Photo Collection - Mobile Quality
Exceptional Vintage pictures crafted for maximum impact. Our Mobile collection combines artistic vision with technical excellence. Every pixel is optimized to deliver a elegant viewing experience. Whether for personal enjoyment or professional use, our {subject}s exceed expectations every time.

Best Minimal Backgrounds in 8K
Your search for the perfect Gradient image ends here. Our 8K gallery offers an unmatched selection of artistic designs suitable for every context. From professional workspaces to personal devices, find images that resonate with your style. Easy downloads, no registration needed, completely free access.

Premium Mountain Background Gallery - Ultra HD
Indulge in visual perfection with our premium Sunset arts. Available in Ultra HD resolution with exceptional clarity and color accuracy. Our collection is meticulously maintained to ensure only the most beautiful content makes it to your screen. Experience the difference that professional curation makes.

Download Gorgeous Colorful Picture | 8K
Discover a universe of gorgeous Vintage patterns in stunning Retina. Our collection spans countless themes, styles, and aesthetics. From tranquil and calming to energetic and vibrant, find the perfect visual representation of your personality or brand. Free access to thousands of premium-quality images without any watermarks.

Premium Abstract Illustration Gallery - 4K
Unlock endless possibilities with our gorgeous Sunset design collection. Featuring 8K resolution and stunning visual compositions. Our intuitive interface makes it easy to search, preview, and download your favorite images. Whether you need one {subject} or a hundred, we make the process simple and enjoyable.

City Texture Collection - HD Quality
Breathtaking Gradient arts that redefine visual excellence. Our 4K gallery showcases the work of talented creators who understand the power of incredible imagery. Transform your screen into a work of art with just a few clicks. All images are optimized for modern displays and retina screens.

Premium Ocean Design Gallery - High Resolution
Browse through our curated selection of gorgeous Gradient textures. Professional quality Mobile resolution ensures crisp, clear images on any device. From smartphones to large desktop monitors, our {subject}s look stunning everywhere. Join thousands of satisfied users who have already transformed their screens with our premium collection.

Conclusion
We hope this guide on Induction Proof Problem Given Mathematics Stack Exchange has been helpful. Our team is constantly updating our gallery with the latest trends and high-quality resources. Check back soon for more updates on induction proof problem given mathematics stack exchange.
Related Visuals
- Discrete Mathematics - Another Proof by Strong Induction Problem ...
- Induction Proof, Problem given. - Mathematics Stack Exchange
- discrete mathematics - Help with Induction proof problem - Mathematics ...
- discrete mathematics - Generalized induction proof - Mathematics Stack ...
- sequences and series - Induction problem - Mathematics Stack Exchange
- Proof by mathematical induction - Computer Science Stack Exchange
- Induction proof with matrix multiplication - Mathematics Stack Exchange
- Induction proof with matrix multiplication - Mathematics Stack Exchange
- discrete mathematics - Solving proof by induction row - Mathematics ...
- Question Proof By Induction (One Step) - Mathematics Stack Exchange