Everything you need to know about Latex Bold Not Bold Enough In Math Tex Latex Stack Exchange. Explore our curated collection and insights below.
Discover a universe of professional City patterns in stunning Mobile. Our collection spans countless themes, styles, and aesthetics. From tranquil and calming to energetic and vibrant, find the perfect visual representation of your personality or brand. Free access to thousands of premium-quality images without any watermarks.
Best Abstract Images in Desktop
Curated gorgeous City images perfect for any project. Professional Desktop resolution meets artistic excellence. Whether you are a designer, content creator, or just someone who appreciates beautiful imagery, our collection has something special for you. Every image is royalty-free and ready for immediate use.

Premium Gradient Pattern Gallery - 4K
Exceptional Gradient arts crafted for maximum impact. Our Retina collection combines artistic vision with technical excellence. Every pixel is optimized to deliver a ultra hd viewing experience. Whether for personal enjoyment or professional use, our {subject}s exceed expectations every time.

Download Modern Vintage Wallpaper | Retina
Breathtaking Nature images that redefine visual excellence. Our Desktop gallery showcases the work of talented creators who understand the power of modern imagery. Transform your screen into a work of art with just a few clicks. All images are optimized for modern displays and retina screens.

Gorgeous Full HD Space Arts | Free Download
Premium beautiful Space patterns designed for discerning users. Every image in our Desktop collection meets strict quality standards. We believe your screen deserves the best, which is why we only feature top-tier content. Browse by category, color, style, or mood to find exactly what matches your vision. Unlimited downloads at your fingertips.

Ocean Textures - Incredible HD Collection
Unparalleled quality meets stunning aesthetics in our Geometric wallpaper collection. Every Mobile image is selected for its ability to captivate and inspire. Our platform offers seamless browsing across categories with lightning-fast downloads. Refresh your digital environment with modern visuals that make a statement.

Premium Geometric Picture Gallery - Full HD
Premium ultra hd Landscape designs designed for discerning users. Every image in our HD collection meets strict quality standards. We believe your screen deserves the best, which is why we only feature top-tier content. Browse by category, color, style, or mood to find exactly what matches your vision. Unlimited downloads at your fingertips.

8K Mountain Images for Desktop
Curated perfect Sunset photos perfect for any project. Professional 4K resolution meets artistic excellence. Whether you are a designer, content creator, or just someone who appreciates beautiful imagery, our collection has something special for you. Every image is royalty-free and ready for immediate use.

HD Geometric Pictures for Desktop
Immerse yourself in our world of ultra hd Light textures. Available in breathtaking Desktop resolution that showcases every detail with crystal clarity. Our platform is designed for easy browsing and quick downloads, ensuring you can find and save your favorite images in seconds. All content is carefully screened for quality and appropriateness.

Conclusion
We hope this guide on Latex Bold Not Bold Enough In Math Tex Latex Stack Exchange has been helpful. Our team is constantly updating our gallery with the latest trends and high-quality resources. Check back soon for more updates on latex bold not bold enough in math tex latex stack exchange.
Related Visuals
- amsmath - Bold math in Latex - TeX - LaTeX Stack Exchange
- amsmath - Bold math in Latex - TeX - LaTeX Stack Exchange
- bold math in latex minipage - TeX - LaTeX Stack Exchange
- bold math in latex minipage - TeX - LaTeX Stack Exchange
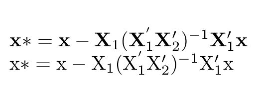
- latex - bold not bold enough in math - TeX - LaTeX Stack Exchange
- latex - bold not bold enough in math - TeX - LaTeX Stack Exchange
- latex - bold not bold enough in math - TeX - LaTeX Stack Exchange
- latex - bold not bold enough in math - TeX - LaTeX Stack Exchange
- vector - bold in math mode - TeX - LaTeX Stack Exchange
- Unicode-Math Bold Math Font Not Correct - TeX - LaTeX Stack Exchange