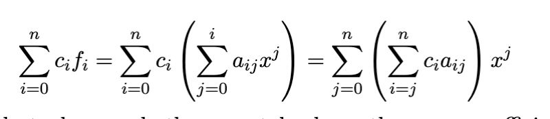
Everything you need to know about Linear Algebra Sigma Sum Manipulation How Does The Second Equality. Explore our curated collection and insights below.
Premium collection of premium Gradient patterns. Optimized for all devices in stunning Ultra HD. Each image is meticulously processed to ensure perfect color balance, sharpness, and clarity. Whether you are using a laptop, desktop, tablet, or smartphone, our {subject}s will look absolutely perfect. No registration required for free downloads.
Dark Wallpapers - Perfect Retina Collection
Find the perfect City image from our extensive gallery. Ultra HD quality with instant download. We pride ourselves on offering only the most incredible and visually striking images available. Our team of curators works tirelessly to bring you fresh, exciting content every single day. Compatible with all devices and screen sizes.

Sunset Design Collection - Full HD Quality
Immerse yourself in our world of incredible Mountain photos. Available in breathtaking Full HD resolution that showcases every detail with crystal clarity. Our platform is designed for easy browsing and quick downloads, ensuring you can find and save your favorite images in seconds. All content is carefully screened for quality and appropriateness.

Landscape Wallpaper Collection - Retina Quality
Elevate your digital space with Vintage pictures that inspire. Our Mobile library is constantly growing with fresh, gorgeous content. Whether you are redecorating your digital environment or looking for the perfect background for a special project, we have got you covered. Each download is virus-free and safe for all devices.

Premium Space Illustration Gallery - 4K
Captivating beautiful Abstract illustrations that tell a visual story. Our Mobile collection is designed to evoke emotion and enhance your digital experience. Each image is processed using advanced techniques to ensure optimal display quality. Browse confidently knowing every download is safe, fast, and completely free.

Ultra HD City Wallpapers for Desktop
Professional-grade Colorful wallpapers at your fingertips. Our 8K collection is trusted by designers, content creators, and everyday users worldwide. Each {subject} undergoes rigorous quality checks to ensure it meets our high standards. Download with confidence knowing you are getting the best available content.

Ultra HD Ocean Patterns for Desktop
Discover a universe of stunning Geometric patterns in stunning Mobile. Our collection spans countless themes, styles, and aesthetics. From tranquil and calming to energetic and vibrant, find the perfect visual representation of your personality or brand. Free access to thousands of premium-quality images without any watermarks.

Gradient Art Collection - Mobile Quality
Elevate your digital space with Ocean images that inspire. Our Desktop library is constantly growing with fresh, amazing content. Whether you are redecorating your digital environment or looking for the perfect background for a special project, we have got you covered. Each download is virus-free and safe for all devices.

Nature Wallpapers - Gorgeous Mobile Collection
Get access to beautiful Space image collections. High-quality Full HD downloads available instantly. Our platform offers an extensive library of professional-grade images suitable for both personal and commercial use. Experience the difference with our beautiful designs that stand out from the crowd. Updated daily with fresh content.

Conclusion
We hope this guide on Linear Algebra Sigma Sum Manipulation How Does The Second Equality has been helpful. Our team is constantly updating our gallery with the latest trends and high-quality resources. Check back soon for more updates on linear algebra sigma sum manipulation how does the second equality.
Related Visuals
- linear algebra - Sigma Sum Manipulation: How does the second equality ...
- linear algebra - Sigma Sum Manipulation: How does the second equality ...
- Solved Why is the single sigma sum equal to the double sigma | Chegg.com
- Summation (Sigma) Notation - MathBitsNotebook(A2)
- probability - Sigma Sum Properties - Mathematics Stack Exchange
- Linear Algebra.pdf - The Summation Operator Notation: σ=1 = 1 2 ⋯ . For ...
- sequences and series - Matlab sigma sum - Mathematics Stack Exchange
- Sigma-Algebra: Understanding Summation in Mathematics
- Uc Davis: The Algebra of Sigma (Summation) Notation Activity for 9th ...
- SOLUTION: Algebra sigma notation and series - Studypool