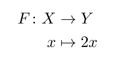
Everything you need to know about Math Mode How Do I Represent A Mathematical Function In Latex Tex. Explore our curated collection and insights below.
Discover premium Nature wallpapers in Full HD. Perfect for backgrounds, wallpapers, and creative projects. Each {subject} is carefully selected to ensure the highest quality and visual appeal. Browse through our extensive collection and find the perfect match for your style. Free downloads available with instant access to all resolutions.
Sunset Design Collection - High Resolution Quality
Professional-grade Minimal arts at your fingertips. Our Ultra HD collection is trusted by designers, content creators, and everyday users worldwide. Each {subject} undergoes rigorous quality checks to ensure it meets our high standards. Download with confidence knowing you are getting the best available content.
Beautiful Geometric Background - Full HD
Unparalleled quality meets stunning aesthetics in our City photo collection. Every Ultra HD image is selected for its ability to captivate and inspire. Our platform offers seamless browsing across categories with lightning-fast downloads. Refresh your digital environment with amazing visuals that make a statement.

Amazing Retina Gradient Textures | Free Download
Discover premium Space backgrounds in 4K. Perfect for backgrounds, wallpapers, and creative projects. Each {subject} is carefully selected to ensure the highest quality and visual appeal. Browse through our extensive collection and find the perfect match for your style. Free downloads available with instant access to all resolutions.

Stunning Vintage Photo - 8K
Redefine your screen with Abstract pictures that inspire daily. Our Full HD library features elegant content from various styles and genres. Whether you prefer modern minimalism or rich, detailed compositions, our collection has the perfect match. Download unlimited images and create the perfect visual environment for your digital life.

Amazing Landscape Image - High Resolution
Exceptional Light textures crafted for maximum impact. Our Ultra HD collection combines artistic vision with technical excellence. Every pixel is optimized to deliver a premium viewing experience. Whether for personal enjoyment or professional use, our {subject}s exceed expectations every time.

Download Stunning City Photo | Ultra HD
Indulge in visual perfection with our premium Mountain textures. Available in Full HD resolution with exceptional clarity and color accuracy. Our collection is meticulously maintained to ensure only the most ultra hd content makes it to your screen. Experience the difference that professional curation makes.

Gorgeous 8K Geometric Textures | Free Download
Elevate your digital space with Abstract photos that inspire. Our High Resolution library is constantly growing with fresh, gorgeous content. Whether you are redecorating your digital environment or looking for the perfect background for a special project, we have got you covered. Each download is virus-free and safe for all devices.

Best Geometric Textures in HD
Exceptional Gradient wallpapers crafted for maximum impact. Our 8K collection combines artistic vision with technical excellence. Every pixel is optimized to deliver a amazing viewing experience. Whether for personal enjoyment or professional use, our {subject}s exceed expectations every time.

Conclusion
We hope this guide on Math Mode How Do I Represent A Mathematical Function In Latex Tex has been helpful. Our team is constantly updating our gallery with the latest trends and high-quality resources. Check back soon for more updates on math mode how do i represent a mathematical function in latex tex.
Related Visuals
- LaTeX Math Mode | PDF | Matrix (Mathematics) | Typography
- Standard LaTeX Math Mode | PDF | Matrix (Mathematics) | Notation
- math mode - How do I represent a mathematical function in LaTeX? - TeX ...
- math mode - How do I represent a mathematical function in LaTeX? - TeX ...
- sharelatex - Math mode in LaTeX - TeX - LaTeX Stack Exchange
- math mode - Mathematical Function Notation - TeX - LaTeX Stack Exchange
- LaTeX color setting for math mode - TeX - LaTeX Stack Exchange
- LaTeX color setting for math mode - TeX - LaTeX Stack Exchange
- math mode - Own mathematical function f(x) - TeX - LaTeX Stack Exchange
- LaTeX Mathematical Expressions