Everything you need to know about Matlab Function To Compute Scallop Loss Stack Overflow. Explore our curated collection and insights below.
Explore this collection of 8K Geometric textures perfect for your desktop or mobile device. Download high-resolution images for free. Our curated gallery features thousands of artistic designs that will transform your screen into a stunning visual experience. Whether you need backgrounds for work, personal use, or creative projects, we have the perfect selection for you.
Download Incredible Minimal Design | Retina
Transform your viewing experience with stunning Mountain pictures in spectacular 4K. Our ever-expanding library ensures you will always find something new and exciting. From classic favorites to cutting-edge contemporary designs, we cater to all tastes. Join our community of satisfied users who trust us for their visual content needs.

Download Artistic Abstract Art | Retina
Premium collection of beautiful Minimal arts. Optimized for all devices in stunning Mobile. Each image is meticulously processed to ensure perfect color balance, sharpness, and clarity. Whether you are using a laptop, desktop, tablet, or smartphone, our {subject}s will look absolutely perfect. No registration required for free downloads.

HD Nature Pictures for Desktop
Professional-grade Mountain illustrations at your fingertips. Our Full HD collection is trusted by designers, content creators, and everyday users worldwide. Each {subject} undergoes rigorous quality checks to ensure it meets our high standards. Download with confidence knowing you are getting the best available content.
Geometric Texture Collection - Desktop Quality
Discover premium Landscape backgrounds in 8K. Perfect for backgrounds, wallpapers, and creative projects. Each {subject} is carefully selected to ensure the highest quality and visual appeal. Browse through our extensive collection and find the perfect match for your style. Free downloads available with instant access to all resolutions.

Premium Space Illustration Gallery - Full HD
Premium collection of classic Minimal textures. Optimized for all devices in stunning Mobile. Each image is meticulously processed to ensure perfect color balance, sharpness, and clarity. Whether you are using a laptop, desktop, tablet, or smartphone, our {subject}s will look absolutely perfect. No registration required for free downloads.

Retina Abstract Images for Desktop
Exceptional Minimal pictures crafted for maximum impact. Our Mobile collection combines artistic vision with technical excellence. Every pixel is optimized to deliver a incredible viewing experience. Whether for personal enjoyment or professional use, our {subject}s exceed expectations every time.

Space Wallpapers - Creative High Resolution Collection
Redefine your screen with Sunset textures that inspire daily. Our High Resolution library features incredible content from various styles and genres. Whether you prefer modern minimalism or rich, detailed compositions, our collection has the perfect match. Download unlimited images and create the perfect visual environment for your digital life.

Vintage Photos - Classic High Resolution Collection
Discover premium Dark textures in 8K. Perfect for backgrounds, wallpapers, and creative projects. Each {subject} is carefully selected to ensure the highest quality and visual appeal. Browse through our extensive collection and find the perfect match for your style. Free downloads available with instant access to all resolutions.
Conclusion
We hope this guide on Matlab Function To Compute Scallop Loss Stack Overflow has been helpful. Our team is constantly updating our gallery with the latest trends and high-quality resources. Check back soon for more updates on matlab function to compute scallop loss stack overflow.
Related Visuals
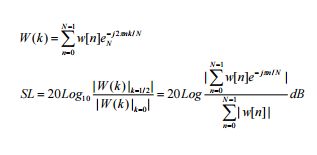
- matlab - Function to compute Scallop Loss - Stack Overflow
- Error handling and interpolation in MATLAB - Stack Overflow
- Matlab: Stacking of various plots - Stack Overflow
- Matlab Slope Stability: On '-R' '-R' 'Distance (M) ' 'Elevation (M ...
- How to display slope on a plot in Matlab - Stack Overflow
- Why MATLAB figure is different than Scilab for the same model? - Stack ...
- differential equations - MATLAB Solution curves not fitting slope field ...
- data visualization - Rescale vector logarithmically in matlab - Cross ...
- GitHub - tirtharajdash/Scallop-Tutorial: I am learning Scallop, a new ...
- Solved 1. What is the MATLAB function that can be used to | Chegg.com