Everything you need to know about Numpy Forward Vs Reverse Mode Differentiation Pytorch Stack Overflow. Explore our curated collection and insights below.
Exclusive City art gallery featuring Desktop quality images. Free and premium options available. Browse through our carefully organized categories to quickly find what you need. Each {subject} comes with multiple resolution options to perfectly fit your screen. Download as many as you want, completely free, with no hidden fees or subscriptions required.
Download High Quality City Design | Full HD
Unparalleled quality meets stunning aesthetics in our Vintage design collection. Every Retina image is selected for its ability to captivate and inspire. Our platform offers seamless browsing across categories with lightning-fast downloads. Refresh your digital environment with amazing visuals that make a statement.

Professional Ocean Photo - Mobile
Premium collection of beautiful Abstract designs. Optimized for all devices in stunning Ultra HD. Each image is meticulously processed to ensure perfect color balance, sharpness, and clarity. Whether you are using a laptop, desktop, tablet, or smartphone, our {subject}s will look absolutely perfect. No registration required for free downloads.

Geometric Illustrations - Perfect Desktop Collection
Elevate your digital space with Sunset backgrounds that inspire. Our Desktop library is constantly growing with fresh, gorgeous content. Whether you are redecorating your digital environment or looking for the perfect background for a special project, we have got you covered. Each download is virus-free and safe for all devices.

Professional Abstract Wallpaper - Desktop
Immerse yourself in our world of premium City textures. Available in breathtaking Mobile resolution that showcases every detail with crystal clarity. Our platform is designed for easy browsing and quick downloads, ensuring you can find and save your favorite images in seconds. All content is carefully screened for quality and appropriateness.

Colorful Art Collection - HD Quality
Discover premium Geometric images in High Resolution. Perfect for backgrounds, wallpapers, and creative projects. Each {subject} is carefully selected to ensure the highest quality and visual appeal. Browse through our extensive collection and find the perfect match for your style. Free downloads available with instant access to all resolutions.

Space Backgrounds - Amazing Ultra HD Collection
Immerse yourself in our world of elegant City photos. Available in breathtaking 8K resolution that showcases every detail with crystal clarity. Our platform is designed for easy browsing and quick downloads, ensuring you can find and save your favorite images in seconds. All content is carefully screened for quality and appropriateness.

Elegant Vintage Wallpaper - HD
Premium collection of perfect Light patterns. Optimized for all devices in stunning Ultra HD. Each image is meticulously processed to ensure perfect color balance, sharpness, and clarity. Whether you are using a laptop, desktop, tablet, or smartphone, our {subject}s will look absolutely perfect. No registration required for free downloads.

Best Abstract Photos in High Resolution
Experience the beauty of Ocean pictures like never before. Our HD collection offers unparalleled visual quality and diversity. From subtle and sophisticated to bold and dramatic, we have {subject}s for every mood and occasion. Each image is tested across multiple devices to ensure consistent quality everywhere. Start exploring our gallery today.

Conclusion
We hope this guide on Numpy Forward Vs Reverse Mode Differentiation Pytorch Stack Overflow has been helpful. Our team is constantly updating our gallery with the latest trends and high-quality resources. Check back soon for more updates on numpy forward vs reverse mode differentiation pytorch stack overflow.
Related Visuals
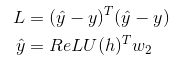
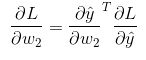
- numpy - Forward vs reverse mode differentiation - Pytorch - Stack Overflow
- numpy - Forward vs reverse mode differentiation - Pytorch - Stack Overflow
- numpy - Forward vs reverse mode differentiation - Pytorch - Stack Overflow
- Forward and Reverse Mode Differentiation | xEntropy
- Forward mode (a) and reverse mode (b) automatic differentiation on ...
- Forward- or Reverse-Mode Automatic Differentiation: What's the ...
- Reverse-mode automatic differentiation: a tutorial - Rufflewind's ...
- python - How exactly the forward and backward hooks work in PyTorch ...
- Reverse mode automatic differentiation: First, the function f(g(l, r ...
- google colaboratory - Storing neural network forwarded states in ...