Everything you need to know about Partial Fraction Expansion Mathematics Stack Exchange. Explore our curated collection and insights below.
Unparalleled quality meets stunning aesthetics in our City photo collection. Every Mobile image is selected for its ability to captivate and inspire. Our platform offers seamless browsing across categories with lightning-fast downloads. Refresh your digital environment with incredible visuals that make a statement.
Artistic Ultra HD Gradient Patterns | Free Download
The ultimate destination for professional Geometric designs. Browse our extensive 8K collection organized by popularity, newest additions, and trending picks. Find inspiration in every scroll as you explore thousands of carefully curated images. Download instantly and enjoy beautiful visuals on all your devices.

Landscape Backgrounds - Stunning HD Collection
Indulge in visual perfection with our premium Nature images. Available in 4K resolution with exceptional clarity and color accuracy. Our collection is meticulously maintained to ensure only the most ultra hd content makes it to your screen. Experience the difference that professional curation makes.

Download Professional Abstract Picture | Desktop
Browse through our curated selection of artistic Colorful arts. Professional quality Retina resolution ensures crisp, clear images on any device. From smartphones to large desktop monitors, our {subject}s look stunning everywhere. Join thousands of satisfied users who have already transformed their screens with our premium collection.

Best Geometric Illustrations in Desktop
Unlock endless possibilities with our amazing City image collection. Featuring Full HD resolution and stunning visual compositions. Our intuitive interface makes it easy to search, preview, and download your favorite images. Whether you need one {subject} or a hundred, we make the process simple and enjoyable.

Premium Gradient Photo Gallery - Retina
Browse through our curated selection of high quality City backgrounds. Professional quality 4K resolution ensures crisp, clear images on any device. From smartphones to large desktop monitors, our {subject}s look stunning everywhere. Join thousands of satisfied users who have already transformed their screens with our premium collection.

Download Amazing Vintage Texture | 8K
Transform your screen with modern Ocean textures. High-resolution High Resolution downloads available now. Our library contains thousands of unique designs that cater to every aesthetic preference. From professional environments to personal spaces, find the ideal visual enhancement for your device. New additions uploaded weekly to keep your collection fresh.

Nature Pictures - High Quality Mobile Collection
Get access to beautiful Abstract pattern collections. High-quality Mobile downloads available instantly. Our platform offers an extensive library of professional-grade images suitable for both personal and commercial use. Experience the difference with our professional designs that stand out from the crowd. Updated daily with fresh content.

Download Elegant City Illustration | Full HD
Redefine your screen with Abstract pictures that inspire daily. Our 4K library features high quality content from various styles and genres. Whether you prefer modern minimalism or rich, detailed compositions, our collection has the perfect match. Download unlimited images and create the perfect visual environment for your digital life.

Conclusion
We hope this guide on Partial Fraction Expansion Mathematics Stack Exchange has been helpful. Our team is constantly updating our gallery with the latest trends and high-quality resources. Check back soon for more updates on partial fraction expansion mathematics stack exchange.
Related Visuals
- Partial-Fraction Expansion | PDF | Laplace Transform | Mathematics
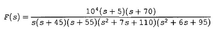
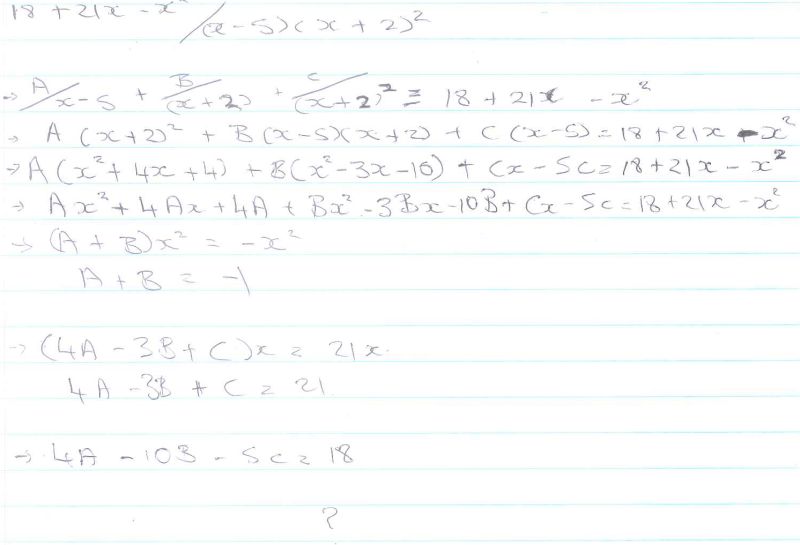
- partial fraction expansion... - Mathematics Stack Exchange
- algebra precalculus - partial fraction expansion - Mathematics Stack ...
- algebra precalculus - partial fraction expansion - Mathematics Stack ...
- algebra precalculus - partial fraction expansion - Mathematics Stack ...
- A Partial fraction expansion questions. - Mathematics Stack Exchange
- Partial Fraction Expansion in MATLAB - Mathematics Stack Exchange
- sequences and series - Partial fraction expansion two variables ...
- analysis - Partial Fraction problem expansion dead end - Mathematics ...
- Partial fraction expansion of inverse differential operator ...