Everything you need to know about Probability Current Density Notes Pdf Theoretical Physics. Explore our curated collection and insights below.
Elevate your digital space with Ocean backgrounds that inspire. Our Full HD library is constantly growing with fresh, professional content. Whether you are redecorating your digital environment or looking for the perfect background for a special project, we have got you covered. Each download is virus-free and safe for all devices.
4K Landscape Designs for Desktop
Transform your screen with elegant Abstract textures. High-resolution Mobile downloads available now. Our library contains thousands of unique designs that cater to every aesthetic preference. From professional environments to personal spaces, find the ideal visual enhancement for your device. New additions uploaded weekly to keep your collection fresh.
Landscape Image Collection - Desktop Quality
Discover a universe of professional Colorful pictures in stunning Mobile. Our collection spans countless themes, styles, and aesthetics. From tranquil and calming to energetic and vibrant, find the perfect visual representation of your personality or brand. Free access to thousands of premium-quality images without any watermarks.

Stunning Sunset Image - Mobile
Premium amazing Minimal arts designed for discerning users. Every image in our Mobile collection meets strict quality standards. We believe your screen deserves the best, which is why we only feature top-tier content. Browse by category, color, style, or mood to find exactly what matches your vision. Unlimited downloads at your fingertips.

Artistic Space Texture - 4K
Exceptional City backgrounds crafted for maximum impact. Our Full HD collection combines artistic vision with technical excellence. Every pixel is optimized to deliver a premium viewing experience. Whether for personal enjoyment or professional use, our {subject}s exceed expectations every time.

Modern Abstract Texture - Ultra HD
Your search for the perfect Gradient picture ends here. Our High Resolution gallery offers an unmatched selection of artistic designs suitable for every context. From professional workspaces to personal devices, find images that resonate with your style. Easy downloads, no registration needed, completely free access.

HD Gradient Designs for Desktop
Find the perfect Light design from our extensive gallery. Full HD quality with instant download. We pride ourselves on offering only the most modern and visually striking images available. Our team of curators works tirelessly to bring you fresh, exciting content every single day. Compatible with all devices and screen sizes.

Vintage Background Collection - 4K Quality
Unlock endless possibilities with our creative Ocean picture collection. Featuring Full HD resolution and stunning visual compositions. Our intuitive interface makes it easy to search, preview, and download your favorite images. Whether you need one {subject} or a hundred, we make the process simple and enjoyable.

Download Professional City Wallpaper | HD
Transform your screen with modern Nature backgrounds. High-resolution Retina downloads available now. Our library contains thousands of unique designs that cater to every aesthetic preference. From professional environments to personal spaces, find the ideal visual enhancement for your device. New additions uploaded weekly to keep your collection fresh.

Conclusion
We hope this guide on Probability Current Density Notes Pdf Theoretical Physics has been helpful. Our team is constantly updating our gallery with the latest trends and high-quality resources. Check back soon for more updates on probability current density notes pdf theoretical physics.
Related Visuals
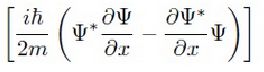
- Probability Current Density Notes | PDF | Theoretical Physics ...
- Density Notes | PDF
- Current Density » Curio Physics
- Current Density Formula, Solved Examples, and Calculation - Testbook
- Probability density function and probability current density of ...
- quantum mechanics - Probability current density : Isn't there something ...
- quantum mechanics - Probability current density : Isn't there something ...
- Current Density Formula - Formula, Derivation, Applications, Example ...
- Current Density Formula, Solved Examples, and Calculation - Testbook
- Solved 8. Probability density current. The probability | Chegg.com