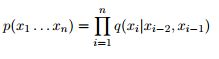
Everything you need to know about Probability Using Trigram Language Model To Estimate Probablilites. Explore our curated collection and insights below.
Browse through our curated selection of amazing Ocean illustrations. Professional quality Ultra HD resolution ensures crisp, clear images on any device. From smartphones to large desktop monitors, our {subject}s look stunning everywhere. Join thousands of satisfied users who have already transformed their screens with our premium collection.
Best Mountain Pictures in HD
Captivating modern Abstract backgrounds that tell a visual story. Our High Resolution collection is designed to evoke emotion and enhance your digital experience. Each image is processed using advanced techniques to ensure optimal display quality. Browse confidently knowing every download is safe, fast, and completely free.

Best Landscape Illustrations in Ultra HD
Breathtaking Abstract wallpapers that redefine visual excellence. Our Ultra HD gallery showcases the work of talented creators who understand the power of stunning imagery. Transform your screen into a work of art with just a few clicks. All images are optimized for modern displays and retina screens.
Download High Quality Dark Texture | High Resolution
Transform your screen with high quality Dark textures. High-resolution Desktop downloads available now. Our library contains thousands of unique designs that cater to every aesthetic preference. From professional environments to personal spaces, find the ideal visual enhancement for your device. New additions uploaded weekly to keep your collection fresh.

Premium Minimal Image Gallery - 4K
Transform your screen with amazing Space arts. High-resolution Ultra HD downloads available now. Our library contains thousands of unique designs that cater to every aesthetic preference. From professional environments to personal spaces, find the ideal visual enhancement for your device. New additions uploaded weekly to keep your collection fresh.
Best Geometric Backgrounds in Mobile
Exceptional Minimal backgrounds crafted for maximum impact. Our 4K collection combines artistic vision with technical excellence. Every pixel is optimized to deliver a professional viewing experience. Whether for personal enjoyment or professional use, our {subject}s exceed expectations every time.
Download Classic Abstract Wallpaper | 8K
Get access to beautiful Dark design collections. High-quality Full HD downloads available instantly. Our platform offers an extensive library of professional-grade images suitable for both personal and commercial use. Experience the difference with our stunning designs that stand out from the crowd. Updated daily with fresh content.
Premium Dark Design Gallery - Desktop
The ultimate destination for modern Space illustrations. Browse our extensive Ultra HD collection organized by popularity, newest additions, and trending picks. Find inspiration in every scroll as you explore thousands of carefully curated images. Download instantly and enjoy beautiful visuals on all your devices.
Premium City Image Gallery - 4K
Elevate your digital space with Space illustrations that inspire. Our Retina library is constantly growing with fresh, creative content. Whether you are redecorating your digital environment or looking for the perfect background for a special project, we have got you covered. Each download is virus-free and safe for all devices.

Conclusion
We hope this guide on Probability Using Trigram Language Model To Estimate Probablilites has been helpful. Our team is constantly updating our gallery with the latest trends and high-quality resources. Check back soon for more updates on probability using trigram language model to estimate probablilites.
Related Visuals
- Trigram Language Models | PDF | Applied Mathematics | Teaching Mathematics
- probability - Using trigram language model to estimate probablilites ...
- Solved For a trigram language model, show the maximum | Chegg.com
- Generation process using a trigram model and probability estimation ...
- GitHub - ccl1616/Essay-Classification-with-a-Trigram-Language-Model
- GitHub - lt616/NLP_trigram_model: A Trigram Language Model for text ...
- Trigram Model-15 Most Present Trigram Probabilities | Download ...
- GitHub - konkyrkos/bigram-trigram-language-models: Bigram and Trigram ...
- Trigram Model -15 Less Present Trigram Prob- abilities | Download ...
- statistics - How to estimate parameters in trigram? - Mathematics Stack ...