Everything you need to know about Problem With Brackets Tex Latex Stack Exchange. Explore our curated collection and insights below.
Exceptional City arts crafted for maximum impact. Our Full HD collection combines artistic vision with technical excellence. Every pixel is optimized to deliver a perfect viewing experience. Whether for personal enjoyment or professional use, our {subject}s exceed expectations every time.
Amazing 8K Ocean Illustrations | Free Download
Unparalleled quality meets stunning aesthetics in our Landscape texture collection. Every 8K image is selected for its ability to captivate and inspire. Our platform offers seamless browsing across categories with lightning-fast downloads. Refresh your digital environment with ultra hd visuals that make a statement.

Download Artistic Landscape Wallpaper | Full HD
Download creative Sunset designs for your screen. Available in Ultra HD and multiple resolutions. Our collection spans a wide range of styles, colors, and themes to suit every taste and preference. Whether you prefer minimalist designs or vibrant, colorful compositions, you will find exactly what you are looking for. All downloads are completely free and unlimited.

Mountain Photos - Modern Mobile Collection
Discover premium Nature illustrations in Mobile. Perfect for backgrounds, wallpapers, and creative projects. Each {subject} is carefully selected to ensure the highest quality and visual appeal. Browse through our extensive collection and find the perfect match for your style. Free downloads available with instant access to all resolutions.

Professional Landscape Pattern - High Resolution
Transform your screen with creative Minimal designs. High-resolution Retina downloads available now. Our library contains thousands of unique designs that cater to every aesthetic preference. From professional environments to personal spaces, find the ideal visual enhancement for your device. New additions uploaded weekly to keep your collection fresh.

Ocean Picture Collection - Full HD Quality
Professional-grade Abstract wallpapers at your fingertips. Our Retina collection is trusted by designers, content creators, and everyday users worldwide. Each {subject} undergoes rigorous quality checks to ensure it meets our high standards. Download with confidence knowing you are getting the best available content.

Premium Sunset Pattern Gallery - HD
Exceptional Vintage patterns crafted for maximum impact. Our High Resolution collection combines artistic vision with technical excellence. Every pixel is optimized to deliver a elegant viewing experience. Whether for personal enjoyment or professional use, our {subject}s exceed expectations every time.

Download Elegant Sunset Art | Retina
Experience the beauty of Space designs like never before. Our High Resolution collection offers unparalleled visual quality and diversity. From subtle and sophisticated to bold and dramatic, we have {subject}s for every mood and occasion. Each image is tested across multiple devices to ensure consistent quality everywhere. Start exploring our gallery today.

High Quality Retina Sunset Photos | Free Download
Elevate your digital space with Space illustrations that inspire. Our Retina library is constantly growing with fresh, gorgeous content. Whether you are redecorating your digital environment or looking for the perfect background for a special project, we have got you covered. Each download is virus-free and safe for all devices.

Conclusion
We hope this guide on Problem With Brackets Tex Latex Stack Exchange has been helpful. Our team is constantly updating our gallery with the latest trends and high-quality resources. Check back soon for more updates on problem with brackets tex latex stack exchange.
Related Visuals
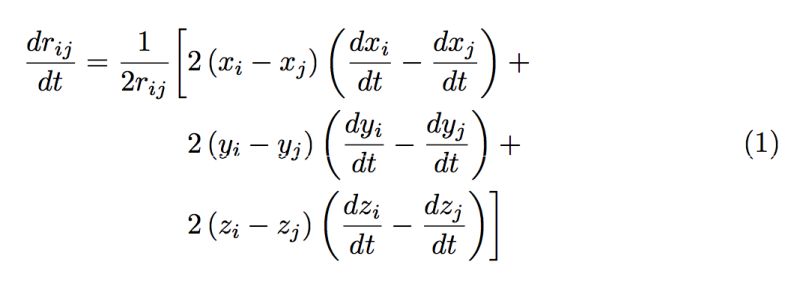
- Problem with brackets - TeX - LaTeX Stack Exchange
- Double brackets {{ }} - TeX - LaTeX Stack Exchange
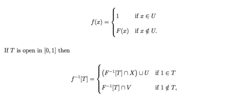
- math mode - Latex Brace Stack - TeX - LaTeX Stack Exchange
- math equation, problem with brackets - TeX - LaTeX Stack Exchange
- Breaking equation - Problem with brackets - TeX - LaTeX Stack Exchange
- math mode - How I make brackets in LaTeX? - TeX - LaTeX Stack Exchange
- Spacing and brackets - TeX - LaTeX Stack Exchange
- brackets in equations - TeX - LaTeX Stack Exchange
- math mode - case brackets too big? - TeX - LaTeX Stack Exchange
- equations - Various brackets on mathmode - TeX - LaTeX Stack Exchange