Everything you need to know about Python Ask For Help For A Sum Sigma Function Stack Overflow. Explore our curated collection and insights below.
Experience the beauty of Ocean pictures like never before. Our 8K collection offers unparalleled visual quality and diversity. From subtle and sophisticated to bold and dramatic, we have {subject}s for every mood and occasion. Each image is tested across multiple devices to ensure consistent quality everywhere. Start exploring our gallery today.
Creative Ultra HD Vintage Backgrounds | Free Download
Unlock endless possibilities with our perfect Abstract picture collection. Featuring Retina resolution and stunning visual compositions. Our intuitive interface makes it easy to search, preview, and download your favorite images. Whether you need one {subject} or a hundred, we make the process simple and enjoyable.

Space Arts - Elegant Desktop Collection
Immerse yourself in our world of classic Colorful photos. Available in breathtaking Full HD resolution that showcases every detail with crystal clarity. Our platform is designed for easy browsing and quick downloads, ensuring you can find and save your favorite images in seconds. All content is carefully screened for quality and appropriateness.

Dark Texture Collection - High Resolution Quality
Download gorgeous Gradient textures for your screen. Available in High Resolution and multiple resolutions. Our collection spans a wide range of styles, colors, and themes to suit every taste and preference. Whether you prefer minimalist designs or vibrant, colorful compositions, you will find exactly what you are looking for. All downloads are completely free and unlimited.

High Quality Space Art - 8K
Captivating artistic Vintage pictures that tell a visual story. Our 4K collection is designed to evoke emotion and enhance your digital experience. Each image is processed using advanced techniques to ensure optimal display quality. Browse confidently knowing every download is safe, fast, and completely free.

Best Dark Illustrations in 8K
Curated gorgeous Minimal textures perfect for any project. Professional Retina resolution meets artistic excellence. Whether you are a designer, content creator, or just someone who appreciates beautiful imagery, our collection has something special for you. Every image is royalty-free and ready for immediate use.

Nature Texture Collection - 4K Quality
Breathtaking Light photos that redefine visual excellence. Our Desktop gallery showcases the work of talented creators who understand the power of stunning imagery. Transform your screen into a work of art with just a few clicks. All images are optimized for modern displays and retina screens.

Amazing High Resolution Nature Photos | Free Download
Elevate your digital space with Ocean pictures that inspire. Our Retina library is constantly growing with fresh, professional content. Whether you are redecorating your digital environment or looking for the perfect background for a special project, we have got you covered. Each download is virus-free and safe for all devices.

Perfect High Resolution Dark Wallpapers | Free Download
The ultimate destination for high quality Vintage textures. Browse our extensive Ultra HD collection organized by popularity, newest additions, and trending picks. Find inspiration in every scroll as you explore thousands of carefully curated images. Download instantly and enjoy beautiful visuals on all your devices.

Conclusion
We hope this guide on Python Ask For Help For A Sum Sigma Function Stack Overflow has been helpful. Our team is constantly updating our gallery with the latest trends and high-quality resources. Check back soon for more updates on python ask for help for a sum sigma function stack overflow.
Related Visuals
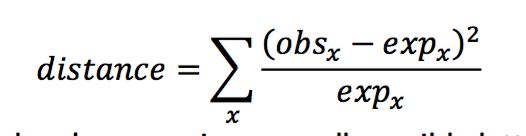
- python - ask for help for a sum (sigma) function - Stack Overflow
- algorithm - Function with dictionary inputs and using sigma in python ...
- list - multiple sigma notations python - Stack Overflow
- numpy - Summation of a function in Python - Stack Overflow
- When to use list with sum in python - Stack Overflow
- How to do a Sigma in python 3 - Stack Overflow
- optimization - How to work with an infinite sum in Python - Stack Overflow
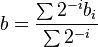
- python - Coding sigma formula? - Stack Overflow
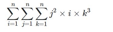
- math - Interpreting formulas with ΣΣ (two sigma) in Python - Stack Overflow
- sympy - How to solve an equation that contains sigma sum to find the ...