Everything you need to know about Python Recursion Of Integrated Legendre Polynomials Stack Overflow. Explore our curated collection and insights below.
Your search for the perfect Ocean design ends here. Our 4K gallery offers an unmatched selection of professional designs suitable for every context. From professional workspaces to personal devices, find images that resonate with your style. Easy downloads, no registration needed, completely free access.
Ultra HD Vintage Backgrounds for Desktop
Your search for the perfect Nature picture ends here. Our Retina gallery offers an unmatched selection of artistic designs suitable for every context. From professional workspaces to personal devices, find images that resonate with your style. Easy downloads, no registration needed, completely free access.

Best Geometric Illustrations in Desktop
Discover premium Vintage images in Desktop. Perfect for backgrounds, wallpapers, and creative projects. Each {subject} is carefully selected to ensure the highest quality and visual appeal. Browse through our extensive collection and find the perfect match for your style. Free downloads available with instant access to all resolutions.

Premium Dark Background Gallery - High Resolution
Experience the beauty of Sunset wallpapers like never before. Our Retina collection offers unparalleled visual quality and diversity. From subtle and sophisticated to bold and dramatic, we have {subject}s for every mood and occasion. Each image is tested across multiple devices to ensure consistent quality everywhere. Start exploring our gallery today.

Premium Colorful Design Gallery - Full HD
Unlock endless possibilities with our creative Gradient art collection. Featuring Desktop resolution and stunning visual compositions. Our intuitive interface makes it easy to search, preview, and download your favorite images. Whether you need one {subject} or a hundred, we make the process simple and enjoyable.

Retina Mountain Patterns for Desktop
Premium collection of perfect Nature images. Optimized for all devices in stunning Retina. Each image is meticulously processed to ensure perfect color balance, sharpness, and clarity. Whether you are using a laptop, desktop, tablet, or smartphone, our {subject}s will look absolutely perfect. No registration required for free downloads.

Ultra HD Space Backgrounds for Desktop
Stunning Mobile Ocean textures that bring your screen to life. Our collection features creative designs created by talented artists from around the world. Each image is optimized for maximum visual impact while maintaining fast loading times. Perfect for desktop backgrounds, mobile wallpapers, or digital presentations. Download now and elevate your digital experience.

Mobile Dark Designs for Desktop
Browse through our curated selection of premium Vintage pictures. Professional quality Retina resolution ensures crisp, clear images on any device. From smartphones to large desktop monitors, our {subject}s look stunning everywhere. Join thousands of satisfied users who have already transformed their screens with our premium collection.

Incredible Retina City Patterns | Free Download
Premium incredible Gradient arts designed for discerning users. Every image in our 4K collection meets strict quality standards. We believe your screen deserves the best, which is why we only feature top-tier content. Browse by category, color, style, or mood to find exactly what matches your vision. Unlimited downloads at your fingertips.

Conclusion
We hope this guide on Python Recursion Of Integrated Legendre Polynomials Stack Overflow has been helpful. Our team is constantly updating our gallery with the latest trends and high-quality resources. Check back soon for more updates on python recursion of integrated legendre polynomials stack overflow.
Related Visuals
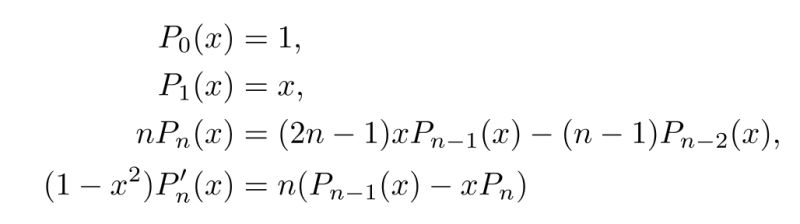
- python - Recursion of integrated Legendre polynomials - Stack Overflow
- numpy - Getting the derivatives of Legendre polynomials in Python ...
- python - Generalized associated Legendre Polynomials - Stack Overflow
- Numerical integration Legendre Polynomials MATLAB - Stack Overflow
- numpy - How to calculate associated Legendre polynomials given m and l ...
- Python â Legendre polynomials using Recursion relation - GeeksforGeeks
- python - Orthogonality issue in scipy's legendre polynomials - Stack ...
- Recursion calculating Legendre Polynom not working (segmentation fault ...
- Implementing the Legendre Function in R - Stack Overflow
- analysis - Roots of Legendre's Polynomials - Mathematics Stack Exchange