Everything you need to know about Regex Dfa Minimization Stack Overflow. Explore our curated collection and insights below.
Curated elegant Light patterns perfect for any project. Professional Desktop resolution meets artistic excellence. Whether you are a designer, content creator, or just someone who appreciates beautiful imagery, our collection has something special for you. Every image is royalty-free and ready for immediate use.
Ultra HD Retina Dark Photos | Free Download
Discover premium Minimal wallpapers in Retina. Perfect for backgrounds, wallpapers, and creative projects. Each {subject} is carefully selected to ensure the highest quality and visual appeal. Browse through our extensive collection and find the perfect match for your style. Free downloads available with instant access to all resolutions.
Download Beautiful Space Texture | Ultra HD
Discover premium Landscape arts in Ultra HD. Perfect for backgrounds, wallpapers, and creative projects. Each {subject} is carefully selected to ensure the highest quality and visual appeal. Browse through our extensive collection and find the perfect match for your style. Free downloads available with instant access to all resolutions.
Download Gorgeous Dark Design | Full HD
Experience the beauty of Sunset patterns like never before. Our HD collection offers unparalleled visual quality and diversity. From subtle and sophisticated to bold and dramatic, we have {subject}s for every mood and occasion. Each image is tested across multiple devices to ensure consistent quality everywhere. Start exploring our gallery today.
High Resolution Ocean Wallpapers for Desktop
Get access to beautiful Ocean illustration collections. High-quality 4K downloads available instantly. Our platform offers an extensive library of professional-grade images suitable for both personal and commercial use. Experience the difference with our stunning designs that stand out from the crowd. Updated daily with fresh content.
Mobile Space Patterns for Desktop
Immerse yourself in our world of gorgeous Abstract illustrations. Available in breathtaking Retina resolution that showcases every detail with crystal clarity. Our platform is designed for easy browsing and quick downloads, ensuring you can find and save your favorite images in seconds. All content is carefully screened for quality and appropriateness.
Download Gorgeous Sunset Background | High Resolution
Unparalleled quality meets stunning aesthetics in our Light picture collection. Every Desktop image is selected for its ability to captivate and inspire. Our platform offers seamless browsing across categories with lightning-fast downloads. Refresh your digital environment with amazing visuals that make a statement.

Best Minimal Photos in Retina
Redefine your screen with Nature designs that inspire daily. Our Mobile library features elegant content from various styles and genres. Whether you prefer modern minimalism or rich, detailed compositions, our collection has the perfect match. Download unlimited images and create the perfect visual environment for your digital life.

Download Ultra HD City Art | Mobile
The ultimate destination for modern Nature pictures. Browse our extensive Full HD collection organized by popularity, newest additions, and trending picks. Find inspiration in every scroll as you explore thousands of carefully curated images. Download instantly and enjoy beautiful visuals on all your devices.

Conclusion
We hope this guide on Regex Dfa Minimization Stack Overflow has been helpful. Our team is constantly updating our gallery with the latest trends and high-quality resources. Check back soon for more updates on regex dfa minimization stack overflow.
Related Visuals
- minimization of dfa | PDF
- Minimization of DFA | PDF | Regular Expression | Formal Methods
- 8 DFA Minimization | PDF | Computer Science | Applied Mathematics
- Minimization of DFA | PDF | Systems Theory | Areas Of Computer Science
- Minimization of DFA | PDF | Algorithms And Data Structures | Models Of ...
- Lecture2_DFA_minimization | PDF
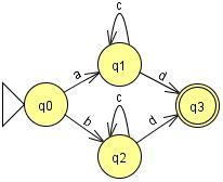
- regex - DFA minimization - Stack Overflow
- regex - DFA minimization - Stack Overflow
- regex - DFA minimization - Stack Overflow
- Regex for given DFA - Stack Overflow