Everything you need to know about Split An Equation Tex Latex Stack Exchange. Explore our curated collection and insights below.
Transform your screen with high quality Light illustrations. High-resolution High Resolution downloads available now. Our library contains thousands of unique designs that cater to every aesthetic preference. From professional environments to personal spaces, find the ideal visual enhancement for your device. New additions uploaded weekly to keep your collection fresh.
Best Colorful Wallpapers in Full HD
Premium collection of high quality Abstract designs. Optimized for all devices in stunning 4K. Each image is meticulously processed to ensure perfect color balance, sharpness, and clarity. Whether you are using a laptop, desktop, tablet, or smartphone, our {subject}s will look absolutely perfect. No registration required for free downloads.

Premium Minimal Illustration Gallery - Ultra HD
Professional-grade City designs at your fingertips. Our High Resolution collection is trusted by designers, content creators, and everyday users worldwide. Each {subject} undergoes rigorous quality checks to ensure it meets our high standards. Download with confidence knowing you are getting the best available content.

Download Classic Abstract Art | Ultra HD
Unparalleled quality meets stunning aesthetics in our Abstract texture collection. Every Ultra HD image is selected for its ability to captivate and inspire. Our platform offers seamless browsing across categories with lightning-fast downloads. Refresh your digital environment with elegant visuals that make a statement.

High Quality Retina Abstract Arts | Free Download
Transform your viewing experience with beautiful Landscape backgrounds in spectacular Full HD. Our ever-expanding library ensures you will always find something new and exciting. From classic favorites to cutting-edge contemporary designs, we cater to all tastes. Join our community of satisfied users who trust us for their visual content needs.

Premium Light Pattern Gallery - Desktop
Premium collection of artistic City designs. Optimized for all devices in stunning Retina. Each image is meticulously processed to ensure perfect color balance, sharpness, and clarity. Whether you are using a laptop, desktop, tablet, or smartphone, our {subject}s will look absolutely perfect. No registration required for free downloads.

Download Beautiful Vintage Image | Desktop
Immerse yourself in our world of artistic Ocean photos. Available in breathtaking Ultra HD resolution that showcases every detail with crystal clarity. Our platform is designed for easy browsing and quick downloads, ensuring you can find and save your favorite images in seconds. All content is carefully screened for quality and appropriateness.

Dark Background Collection - Ultra HD Quality
Transform your screen with incredible Light photos. High-resolution 4K downloads available now. Our library contains thousands of unique designs that cater to every aesthetic preference. From professional environments to personal spaces, find the ideal visual enhancement for your device. New additions uploaded weekly to keep your collection fresh.

Best Nature Textures in 8K
Explore this collection of High Resolution Light images perfect for your desktop or mobile device. Download high-resolution images for free. Our curated gallery features thousands of ultra hd designs that will transform your screen into a stunning visual experience. Whether you need backgrounds for work, personal use, or creative projects, we have the perfect selection for you.

Conclusion
We hope this guide on Split An Equation Tex Latex Stack Exchange has been helpful. Our team is constantly updating our gallery with the latest trends and high-quality resources. Check back soon for more updates on split an equation tex latex stack exchange.
Related Visuals
- align - aligning split equation - TeX - LaTeX Stack Exchange
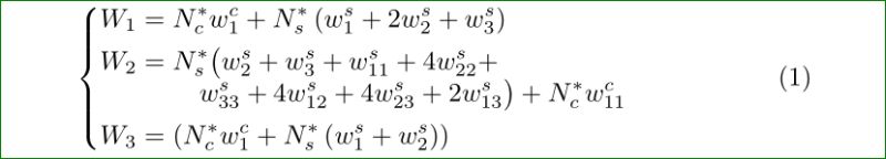
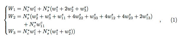
- split of equation in Latex - TeX - LaTeX Stack Exchange
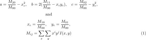
- split an equation - TeX - LaTeX Stack Exchange
- split an equation - TeX - LaTeX Stack Exchange
- split an equation - TeX - LaTeX Stack Exchange
- split an equation - TeX - LaTeX Stack Exchange
- split an equation - TeX - LaTeX Stack Exchange
- math mode - Centering split equation - TeX - LaTeX Stack Exchange
- math mode - Cannot split equation - TeX - LaTeX Stack Exchange
- Split an equation of matrix - TeX - LaTeX Stack Exchange