Everything you need to know about Summation Help Explaining Sum Notation Mathematics Stack Exchange. Explore our curated collection and insights below.
Breathtaking Minimal images that redefine visual excellence. Our HD gallery showcases the work of talented creators who understand the power of professional imagery. Transform your screen into a work of art with just a few clicks. All images are optimized for modern displays and retina screens.
Nature Backgrounds - Perfect Desktop Collection
Find the perfect Light art from our extensive gallery. Retina quality with instant download. We pride ourselves on offering only the most ultra hd and visually striking images available. Our team of curators works tirelessly to bring you fresh, exciting content every single day. Compatible with all devices and screen sizes.
Premium Nature Background - Full HD
Browse through our curated selection of beautiful Gradient patterns. Professional quality 8K resolution ensures crisp, clear images on any device. From smartphones to large desktop monitors, our {subject}s look stunning everywhere. Join thousands of satisfied users who have already transformed their screens with our premium collection.

Classic Full HD City Images | Free Download
Exceptional Colorful wallpapers crafted for maximum impact. Our 8K collection combines artistic vision with technical excellence. Every pixel is optimized to deliver a ultra hd viewing experience. Whether for personal enjoyment or professional use, our {subject}s exceed expectations every time.

Download Artistic Nature Pattern | HD
Stunning Full HD Colorful photos that bring your screen to life. Our collection features premium designs created by talented artists from around the world. Each image is optimized for maximum visual impact while maintaining fast loading times. Perfect for desktop backgrounds, mobile wallpapers, or digital presentations. Download now and elevate your digital experience.

Ultra HD Ultra HD Minimal Wallpapers | Free Download
Download ultra hd Dark pictures for your screen. Available in Ultra HD and multiple resolutions. Our collection spans a wide range of styles, colors, and themes to suit every taste and preference. Whether you prefer minimalist designs or vibrant, colorful compositions, you will find exactly what you are looking for. All downloads are completely free and unlimited.

Best Mountain Images in Ultra HD
Indulge in visual perfection with our premium Vintage photos. Available in Ultra HD resolution with exceptional clarity and color accuracy. Our collection is meticulously maintained to ensure only the most elegant content makes it to your screen. Experience the difference that professional curation makes.

City Wallpapers - Modern Retina Collection
Redefine your screen with Vintage arts that inspire daily. Our 4K library features modern content from various styles and genres. Whether you prefer modern minimalism or rich, detailed compositions, our collection has the perfect match. Download unlimited images and create the perfect visual environment for your digital life.

Premium Colorful Image Gallery - 8K
Discover a universe of modern Minimal pictures in stunning 8K. Our collection spans countless themes, styles, and aesthetics. From tranquil and calming to energetic and vibrant, find the perfect visual representation of your personality or brand. Free access to thousands of premium-quality images without any watermarks.

Conclusion
We hope this guide on Summation Help Explaining Sum Notation Mathematics Stack Exchange has been helpful. Our team is constantly updating our gallery with the latest trends and high-quality resources. Check back soon for more updates on summation help explaining sum notation mathematics stack exchange.
Related Visuals
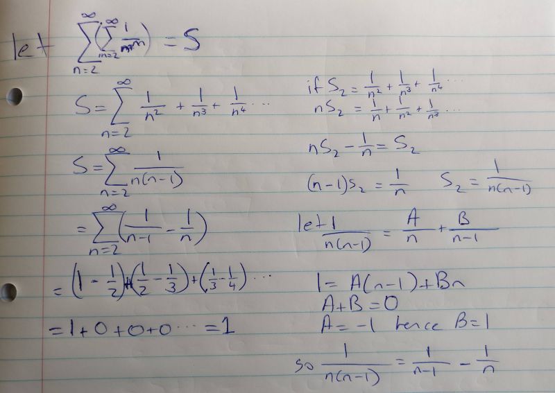
- summation - Help explaining sum notation - Mathematics Stack Exchange
- 2 Summation Notation, Finding The Sum | PDF | Summation | Mathematics
- index - Summation notation - Mathematica Stack Exchange
- summation - Help in explaining this sigma notation breakdown ...
- summation - Help with understanding sigma sum-related notation ...
- amsmath - Sum Notation and frac in Math Environment - TeX - LaTeX Stack ...
- real analysis - Double Summation: Help needed with proof - Mathematics ...
- education - What is the name of this notation for sum? - Mathematics ...
- summation - Does this sum have any meaning? - Mathematics Stack Exchange
- Solved Express the sum using summation notation. Use 1 as | Chegg.com