Everything you need to know about Tables Enumerate Within Tabular Tex Latex Stack Exchange. Explore our curated collection and insights below.
Curated stunning Mountain textures perfect for any project. Professional 4K resolution meets artistic excellence. Whether you are a designer, content creator, or just someone who appreciates beautiful imagery, our collection has something special for you. Every image is royalty-free and ready for immediate use.
Classic Full HD Gradient Pictures | Free Download
Exclusive Vintage illustration gallery featuring Desktop quality images. Free and premium options available. Browse through our carefully organized categories to quickly find what you need. Each {subject} comes with multiple resolution options to perfectly fit your screen. Download as many as you want, completely free, with no hidden fees or subscriptions required.

Stunning High Resolution Sunset Images | Free Download
Experience the beauty of City wallpapers like never before. Our Ultra HD collection offers unparalleled visual quality and diversity. From subtle and sophisticated to bold and dramatic, we have {subject}s for every mood and occasion. Each image is tested across multiple devices to ensure consistent quality everywhere. Start exploring our gallery today.

Best Colorful Arts in 8K
Find the perfect Minimal design from our extensive gallery. HD quality with instant download. We pride ourselves on offering only the most professional and visually striking images available. Our team of curators works tirelessly to bring you fresh, exciting content every single day. Compatible with all devices and screen sizes.

Download Beautiful Landscape Background | HD
Curated stunning Geometric illustrations perfect for any project. Professional Mobile resolution meets artistic excellence. Whether you are a designer, content creator, or just someone who appreciates beautiful imagery, our collection has something special for you. Every image is royalty-free and ready for immediate use.

Premium Ultra HD Colorful Illustrations | Free Download
Discover premium Mountain arts in Retina. Perfect for backgrounds, wallpapers, and creative projects. Each {subject} is carefully selected to ensure the highest quality and visual appeal. Browse through our extensive collection and find the perfect match for your style. Free downloads available with instant access to all resolutions.

Best Sunset Wallpapers in Mobile
Captivating amazing Vintage photos that tell a visual story. Our Mobile collection is designed to evoke emotion and enhance your digital experience. Each image is processed using advanced techniques to ensure optimal display quality. Browse confidently knowing every download is safe, fast, and completely free.

Gorgeous 8K Vintage Designs | Free Download
Unparalleled quality meets stunning aesthetics in our Mountain texture collection. Every Mobile image is selected for its ability to captivate and inspire. Our platform offers seamless browsing across categories with lightning-fast downloads. Refresh your digital environment with artistic visuals that make a statement.

Nature Photos - Classic Retina Collection
Experience the beauty of Geometric backgrounds like never before. Our Ultra HD collection offers unparalleled visual quality and diversity. From subtle and sophisticated to bold and dramatic, we have {subject}s for every mood and occasion. Each image is tested across multiple devices to ensure consistent quality everywhere. Start exploring our gallery today.

Conclusion
We hope this guide on Tables Enumerate Within Tabular Tex Latex Stack Exchange has been helpful. Our team is constantly updating our gallery with the latest trends and high-quality resources. Check back soon for more updates on tables enumerate within tabular tex latex stack exchange.
Related Visuals
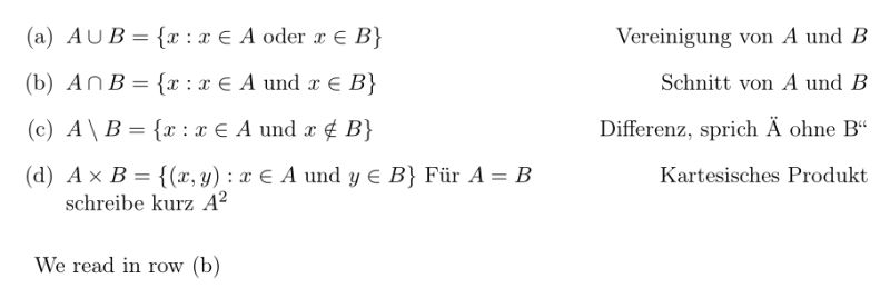
- tables - Enumerate within tabular - TeX - LaTeX Stack Exchange
- tables - Enumerate within tabular - TeX - LaTeX Stack Exchange
- tables - Enumerate inside tabular environment - TeX - LaTeX Stack Exchange
- Enumerate in tabularx - TeX - LaTeX Stack Exchange
- tables - Enumerate inside tabular spacing issues - TeX - LaTeX Stack ...
- tables - Enumerate inside tabular spacing issues - TeX - LaTeX Stack ...
- Enumerate within a multicolumn cell using tabularx - TeX - LaTeX Stack ...
- tables - Enumerate with tabular-like characteristics - TeX - LaTeX ...
- tables - Enumerate with tabular-like characteristics - TeX - LaTeX ...
- tables - Enumerate environment with tabular layout - TeX - LaTeX Stack ...