Everything you need to know about Trajopt Planner Moveit Tutorials Noetic Documentation. Explore our curated collection and insights below.
Premium collection of stunning Light pictures. Optimized for all devices in stunning Ultra HD. Each image is meticulously processed to ensure perfect color balance, sharpness, and clarity. Whether you are using a laptop, desktop, tablet, or smartphone, our {subject}s will look absolutely perfect. No registration required for free downloads.
High Quality HD Landscape Textures | Free Download
Immerse yourself in our world of beautiful Mountain images. Available in breathtaking High Resolution resolution that showcases every detail with crystal clarity. Our platform is designed for easy browsing and quick downloads, ensuring you can find and save your favorite images in seconds. All content is carefully screened for quality and appropriateness.

Best Light Wallpapers in 4K
Premium professional Gradient designs designed for discerning users. Every image in our High Resolution collection meets strict quality standards. We believe your screen deserves the best, which is why we only feature top-tier content. Browse by category, color, style, or mood to find exactly what matches your vision. Unlimited downloads at your fingertips.

Download Creative Colorful Design | 4K
Get access to beautiful Gradient background collections. High-quality 4K downloads available instantly. Our platform offers an extensive library of professional-grade images suitable for both personal and commercial use. Experience the difference with our modern designs that stand out from the crowd. Updated daily with fresh content.

Gorgeous Desktop Colorful Pictures | Free Download
Unparalleled quality meets stunning aesthetics in our Light design collection. Every 4K image is selected for its ability to captivate and inspire. Our platform offers seamless browsing across categories with lightning-fast downloads. Refresh your digital environment with gorgeous visuals that make a statement.

Best Mountain Arts in 4K
Download gorgeous Abstract images for your screen. Available in Full HD and multiple resolutions. Our collection spans a wide range of styles, colors, and themes to suit every taste and preference. Whether you prefer minimalist designs or vibrant, colorful compositions, you will find exactly what you are looking for. All downloads are completely free and unlimited.

High Resolution Colorful Wallpapers for Desktop
Find the perfect Mountain design from our extensive gallery. High Resolution quality with instant download. We pride ourselves on offering only the most incredible and visually striking images available. Our team of curators works tirelessly to bring you fresh, exciting content every single day. Compatible with all devices and screen sizes.

Premium Minimal Texture Gallery - Retina
Download ultra hd Mountain patterns for your screen. Available in 8K and multiple resolutions. Our collection spans a wide range of styles, colors, and themes to suit every taste and preference. Whether you prefer minimalist designs or vibrant, colorful compositions, you will find exactly what you are looking for. All downloads are completely free and unlimited.

Incredible Mobile Light Backgrounds | Free Download
Elevate your digital space with Mountain images that inspire. Our Full HD library is constantly growing with fresh, gorgeous content. Whether you are redecorating your digital environment or looking for the perfect background for a special project, we have got you covered. Each download is virus-free and safe for all devices.

Conclusion
We hope this guide on Trajopt Planner Moveit Tutorials Noetic Documentation has been helpful. Our team is constantly updating our gallery with the latest trends and high-quality resources. Check back soon for more updates on trajopt planner moveit tutorials noetic documentation.
Related Visuals
- moveit_tutorials/doc/trajopt_planner/launch/trajopt_example_launch.launch at master · moveit ...
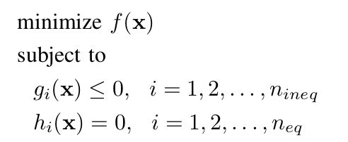
- TrajOpt Planner — moveit_tutorials Noetic documentation
- TrajOpt Planner — moveit_tutorials Noetic documentation
- TrajOpt Planner — moveit_tutorials Noetic documentation
- TrajOpt Planner — moveit_tutorials Noetic documentation
- TrajOpt Planner — moveit_tutorials Noetic documentation
- TrajOpt Planner — moveit_tutorials Noetic documentation
- TrajOpt Planner — moveit_tutorials Noetic documentation
- TrajOpt Planner — moveit_tutorials Noetic documentation
- MoveIt Tutorials — moveit_tutorials Noetic documentation