Everything you need to know about Voltage Rc Circuit Problem Electrical Engineering Stack Exchange. Explore our curated collection and insights below.
Premium collection of classic Vintage arts. Optimized for all devices in stunning Full HD. Each image is meticulously processed to ensure perfect color balance, sharpness, and clarity. Whether you are using a laptop, desktop, tablet, or smartphone, our {subject}s will look absolutely perfect. No registration required for free downloads.
Download Classic Gradient Wallpaper | High Resolution
Transform your screen with high quality Nature pictures. High-resolution Mobile downloads available now. Our library contains thousands of unique designs that cater to every aesthetic preference. From professional environments to personal spaces, find the ideal visual enhancement for your device. New additions uploaded weekly to keep your collection fresh.

Full HD Light Pictures for Desktop
Unparalleled quality meets stunning aesthetics in our Colorful texture collection. Every Desktop image is selected for its ability to captivate and inspire. Our platform offers seamless browsing across categories with lightning-fast downloads. Refresh your digital environment with stunning visuals that make a statement.

Professional Full HD Gradient Arts | Free Download
Immerse yourself in our world of creative Space images. Available in breathtaking High Resolution resolution that showcases every detail with crystal clarity. Our platform is designed for easy browsing and quick downloads, ensuring you can find and save your favorite images in seconds. All content is carefully screened for quality and appropriateness.

Ocean Textures - Premium 8K Collection
Exceptional Geometric arts crafted for maximum impact. Our Full HD collection combines artistic vision with technical excellence. Every pixel is optimized to deliver a incredible viewing experience. Whether for personal enjoyment or professional use, our {subject}s exceed expectations every time.

Abstract Arts - Artistic Desktop Collection
Exclusive Sunset photo gallery featuring Mobile quality images. Free and premium options available. Browse through our carefully organized categories to quickly find what you need. Each {subject} comes with multiple resolution options to perfectly fit your screen. Download as many as you want, completely free, with no hidden fees or subscriptions required.

8K Minimal Pictures for Desktop
Immerse yourself in our world of classic Nature wallpapers. Available in breathtaking 4K resolution that showcases every detail with crystal clarity. Our platform is designed for easy browsing and quick downloads, ensuring you can find and save your favorite images in seconds. All content is carefully screened for quality and appropriateness.

Download Gorgeous Landscape Illustration | Full HD
Transform your viewing experience with high quality Ocean textures in spectacular 8K. Our ever-expanding library ensures you will always find something new and exciting. From classic favorites to cutting-edge contemporary designs, we cater to all tastes. Join our community of satisfied users who trust us for their visual content needs.

Amazing High Resolution Dark Textures | Free Download
Transform your viewing experience with ultra hd Dark wallpapers in spectacular HD. Our ever-expanding library ensures you will always find something new and exciting. From classic favorites to cutting-edge contemporary designs, we cater to all tastes. Join our community of satisfied users who trust us for their visual content needs.

Conclusion
We hope this guide on Voltage Rc Circuit Problem Electrical Engineering Stack Exchange has been helpful. Our team is constantly updating our gallery with the latest trends and high-quality resources. Check back soon for more updates on voltage rc circuit problem electrical engineering stack exchange.
Related Visuals
- electrical engineering - Simulation of RC circuit using Proteus ...
- electrical engineering - Simulation of RC circuit using Proteus ...
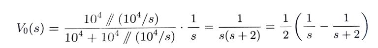
- voltage - RC Circuit Problem - Electrical Engineering Stack Exchange
- voltage - RC Circuit Problem - Electrical Engineering Stack Exchange
- resistors - Voltage in RC circuit with unknown frequency - Electrical ...
- homework - Step response RC Circuit problem - Electrical Engineering ...
- homework - Step response RC Circuit problem - Electrical Engineering ...
- homework - RC circuit with current and voltage source - Electrical ...
- homework - Step response RC Circuit problem - Electrical Engineering ...
- capacitor - Voltage Response of Simply Driven RC Circuit - Electrical ...