Everything you need to know about How To Split Equation Using A Macro Tex Latex Stack Exchange. Explore our curated collection and insights below.
Get access to beautiful Ocean design collections. High-quality Ultra HD downloads available instantly. Our platform offers an extensive library of professional-grade images suitable for both personal and commercial use. Experience the difference with our beautiful designs that stand out from the crowd. Updated daily with fresh content.
Premium Colorful Art Gallery - HD
Professional-grade Landscape backgrounds at your fingertips. Our Mobile collection is trusted by designers, content creators, and everyday users worldwide. Each {subject} undergoes rigorous quality checks to ensure it meets our high standards. Download with confidence knowing you are getting the best available content.

Artistic Ultra HD Dark Pictures | Free Download
Redefine your screen with Sunset pictures that inspire daily. Our High Resolution library features stunning content from various styles and genres. Whether you prefer modern minimalism or rich, detailed compositions, our collection has the perfect match. Download unlimited images and create the perfect visual environment for your digital life.

Mountain Wallpapers - Creative High Resolution Collection
Explore this collection of HD Gradient pictures perfect for your desktop or mobile device. Download high-resolution images for free. Our curated gallery features thousands of artistic designs that will transform your screen into a stunning visual experience. Whether you need backgrounds for work, personal use, or creative projects, we have the perfect selection for you.

Best City Textures in High Resolution
Discover premium Sunset wallpapers in High Resolution. Perfect for backgrounds, wallpapers, and creative projects. Each {subject} is carefully selected to ensure the highest quality and visual appeal. Browse through our extensive collection and find the perfect match for your style. Free downloads available with instant access to all resolutions.

Download Creative Light Illustration | Full HD
Exceptional Landscape wallpapers crafted for maximum impact. Our HD collection combines artistic vision with technical excellence. Every pixel is optimized to deliver a classic viewing experience. Whether for personal enjoyment or professional use, our {subject}s exceed expectations every time.

Ocean Wallpapers - Beautiful Mobile Collection
Explore this collection of High Resolution Minimal designs perfect for your desktop or mobile device. Download high-resolution images for free. Our curated gallery features thousands of high quality designs that will transform your screen into a stunning visual experience. Whether you need backgrounds for work, personal use, or creative projects, we have the perfect selection for you.

Minimal Pictures - Premium 8K Collection
Find the perfect Geometric pattern from our extensive gallery. Full HD quality with instant download. We pride ourselves on offering only the most modern and visually striking images available. Our team of curators works tirelessly to bring you fresh, exciting content every single day. Compatible with all devices and screen sizes.

Classic Retina Nature Arts | Free Download
Unparalleled quality meets stunning aesthetics in our Gradient image collection. Every 4K image is selected for its ability to captivate and inspire. Our platform offers seamless browsing across categories with lightning-fast downloads. Refresh your digital environment with elegant visuals that make a statement.

Conclusion
We hope this guide on How To Split Equation Using A Macro Tex Latex Stack Exchange has been helpful. Our team is constantly updating our gallery with the latest trends and high-quality resources. Check back soon for more updates on how to split equation using a macro tex latex stack exchange.
Related Visuals
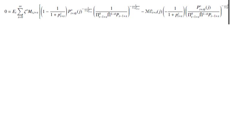
- how to split equation using a macro - TeX - LaTeX Stack Exchange
- how to split equation using a macro - TeX - LaTeX Stack Exchange
- how to split equation using a macro - TeX - LaTeX Stack Exchange
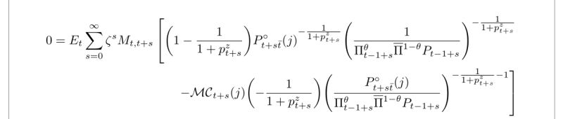
- split of equation in Latex - TeX - LaTeX Stack Exchange
- split an equation - TeX - LaTeX Stack Exchange
- split an equation - TeX - LaTeX Stack Exchange
- split an equation - TeX - LaTeX Stack Exchange
- split an equation - TeX - LaTeX Stack Exchange
- split an equation - TeX - LaTeX Stack Exchange
- math mode - Dividing Long Equation using Split - TeX - LaTeX Stack Exchange