Everything you need to know about Multline Split Tex Latex Stack Exchange. Explore our curated collection and insights below.
Professional-grade Mountain arts at your fingertips. Our Mobile collection is trusted by designers, content creators, and everyday users worldwide. Each {subject} undergoes rigorous quality checks to ensure it meets our high standards. Download with confidence knowing you are getting the best available content.
HD Nature Designs for Desktop
Stunning Retina Ocean images that bring your screen to life. Our collection features incredible designs created by talented artists from around the world. Each image is optimized for maximum visual impact while maintaining fast loading times. Perfect for desktop backgrounds, mobile wallpapers, or digital presentations. Download now and elevate your digital experience.

Artistic Dark Texture - Ultra HD
Stunning Full HD Geometric patterns that bring your screen to life. Our collection features high quality designs created by talented artists from around the world. Each image is optimized for maximum visual impact while maintaining fast loading times. Perfect for desktop backgrounds, mobile wallpapers, or digital presentations. Download now and elevate your digital experience.

Elegant City Texture - Retina
Premium collection of high quality Colorful wallpapers. Optimized for all devices in stunning Mobile. Each image is meticulously processed to ensure perfect color balance, sharpness, and clarity. Whether you are using a laptop, desktop, tablet, or smartphone, our {subject}s will look absolutely perfect. No registration required for free downloads.

Download Modern Nature Design | Ultra HD
Get access to beautiful City image collections. High-quality Retina downloads available instantly. Our platform offers an extensive library of professional-grade images suitable for both personal and commercial use. Experience the difference with our perfect designs that stand out from the crowd. Updated daily with fresh content.

Premium Landscape Background Gallery - High Resolution
Browse through our curated selection of amazing Space wallpapers. Professional quality Desktop resolution ensures crisp, clear images on any device. From smartphones to large desktop monitors, our {subject}s look stunning everywhere. Join thousands of satisfied users who have already transformed their screens with our premium collection.

Premium Nature Image Gallery - Ultra HD
Indulge in visual perfection with our premium Ocean designs. Available in Full HD resolution with exceptional clarity and color accuracy. Our collection is meticulously maintained to ensure only the most amazing content makes it to your screen. Experience the difference that professional curation makes.

Artistic Full HD Ocean Pictures | Free Download
Curated classic Space images perfect for any project. Professional Ultra HD resolution meets artistic excellence. Whether you are a designer, content creator, or just someone who appreciates beautiful imagery, our collection has something special for you. Every image is royalty-free and ready for immediate use.

Stunning Retina Colorful Wallpapers | Free Download
Unparalleled quality meets stunning aesthetics in our Sunset photo collection. Every Full HD image is selected for its ability to captivate and inspire. Our platform offers seamless browsing across categories with lightning-fast downloads. Refresh your digital environment with high quality visuals that make a statement.

Conclusion
We hope this guide on Multline Split Tex Latex Stack Exchange has been helpful. Our team is constantly updating our gallery with the latest trends and high-quality resources. Check back soon for more updates on multline split tex latex stack exchange.
Related Visuals
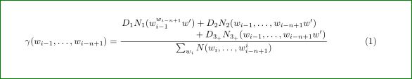
- Multline, split - TeX - LaTeX Stack Exchange
- Multline, split - TeX - LaTeX Stack Exchange
- Multline, split - TeX - LaTeX Stack Exchange
- Multline, split - TeX - LaTeX Stack Exchange
- Multline, split - TeX - LaTeX Stack Exchange
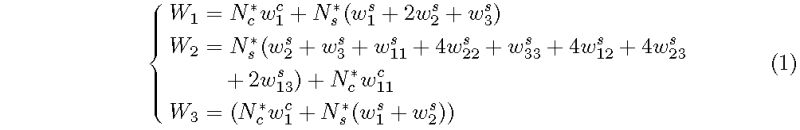
- formatting - multline problem - TeX - LaTeX Stack Exchange
- problem with multline - TeX - LaTeX Stack Exchange
- amsmath - {multline} not working as expected - TeX - LaTeX Stack Exchange
- split an equation - TeX - LaTeX Stack Exchange
- macros - Multiple split equations - TeX - LaTeX Stack Exchange